Алгебра за 10-11 класс Ершова Самостоятельные и контрольные работы Илекса ср-15. вариант А1
Решебник / самостоятельная работа / ср-15. вариант / А1
 
                                 
                                Самостоятельные работы
СР-1. Варианты
СР-2. Варианты
СР-3. Варианты
СР-4. Варианты
СР-5. Варианты
СР-7. Варианты
СР-8. Варианты
СР-9. Варианты
СР-11. Варианты
СР-13. Варианты
СР-14. Варианты
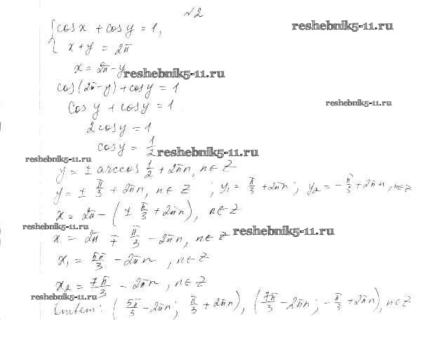
СР-15. Варианты
СР-18. Варианты
СР-20. Варианты
СР-21. Варианты
СР-22. Варианты
СР-24. Варианты
СР-25. Варианты
СР-26. Варианты
СР-29. Варианты
СР-30. Варианты
СР-32. Варианты
СР-34. Варианты
СР-35. Варианты
СР-36. Варианты
СР-37. Варианты
СР-38. Варианты
СР-39. Варианты
СР-42. Варианты
СР-44. Варианты
СР-45. Варианты
СР-46. Варианты
СР-48. Варианты
СР-49. Варианты
СР-50. Варианты
СР-52. Варианты
СР-53. Варианты
СР-54. Варианты
СР-56. Варианты
СР-57. Варианты
СР-58. Варианты
СР-59. Варианты
СР-61. Варианты
СР-62. Варианты
СР-63. Варианты
Контрольные работы
КР-1. Варианты
КР-2. Варианты
КР-3. Варианты
КР-4. Варианты
КР-5. Варианты
КР-6. Варианты
КР-7. Варианты
КР-8. Варианты
КР-9. Варианты
КР-10. Варианты
КР-11. Варианты
КР-12. Варианты
КР-13. Варианты
Готовая домашняя работа с ответами по Алгебре за 10, 11 класс Ершова, Голобородько Самостоятельные и контрольные работы Илекса 2016 ФГОС - СР-15. Варианты А1