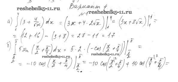
Алгебра за 11 класс Александрова Самостоятельные работы УМК Базовый уровень Мнемозина самостоятельная работа 28 (вариант) 4
Решебник / самостоятельная работа 28 (вариант) / 4


Самостоятельные работы 1 (Варианты)
Самостоятельные работы 2 (Варианты)
Самостоятельные работы 3 (Варианты)
Самостоятельные работы 4 (Варианты)
Самостоятельные работы 5 (Варианты)
Самостоятельные работы 6 (Варианты)
Самостоятельные работы 7 (Варианты)
Самостоятельные работы 8 (Варианты)
Самостоятельные работы 9 (Варианты)
Самостоятельные работы 10 (Варианты)
Самостоятельные работы 11 (Варианты)
Самостоятельные работы 12 (Варианты)
Самостоятельные работы 13 (Варианты)
Самостоятельные работы 14 (Варианты)
Самостоятельные работы 15 (Варианты)
Самостоятельные работы 16 (Варианты)
Самостоятельные работы 17 (Варианты)
Самостоятельные работы 18 (Варианты)
Самостоятельные работы 19 (Варианты)
Самостоятельные работы 20 (Варианты)
Самостоятельные работы 21 (Варианты)
Самостоятельные работы 22 (Варианты)
Самостоятельные работы 23 (Варианты)
Самостоятельные работы 24 (Варианты)
Самостоятельные работы 25 (Варианты)
Самостоятельные работы 26 (Варианты)
Самостоятельные работы 27 (Варианты)
Самостоятельные работы 28 (Варианты)
Самостоятельные работы 29 (Варианты)
Самостоятельные работы 30 (Варианты)
Самостоятельные работы 31 (Варианты)
Самостоятельные работы 32 (Варианты)
Самостоятельные работы 33 (Варианты)
Самостоятельные работы 34 (Варианты)
Самостоятельные работы 35 (Варианты)
Самостоятельные работы 36 (Варианты)
Самостоятельные работы 37 (Варианты)
Самостоятельные работы 38 (Варианты)
Самостоятельные работы 39 (Варианты)
Самостоятельные работы 40 (Варианты)
Самостоятельные работы 41 (Варианты)
Самостоятельные работы 42 (Варианты)
Готовая домашняя работа с ответами по Алгебре за 11 класс Александрова Самостоятельные работы УМК Базовый уровень Мнемозина 2016 ФГОС - Самостоятельные работы 28 (Варианты) 4