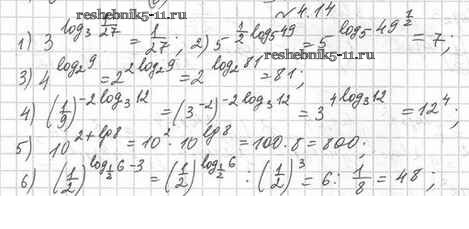
Алгебра за 11 класс Мерзляк Учебник Алгоритм успеха Базовый и профильный уровни Вентана-граф §4 4.14
Решебник / §4 / 4.14

§1. Представление о пределе функции в точке и о непрерывности функции в точке
§2. Задачи о мгновенной скорости и касательной к графику функции
§3. Понятие производной
§4. Правила вычисления производных
§5. Уравнение касательной
§6. Признаки возрастания и убывания функции
§7. Точки экстремума функции
§8. Наибольшее и наименьшее значения функции
§9. Построение графиков функций
§10. Степень с произвольным действительным показателем. Показательная функция
§11. Показательные уравнения
§12. Показательные неравенства
§13. Логарифм и его свойства
§14. Логарифмическая функция и её свойства
§15. Логарифмические уравнения
§16. Логарифмические неравенства
§17. Производные показательной и логарифмической функций
§18. Первообразная
§19. Правила нахождения первообразной
§20. Площадь криволинейной трапеции. Определённый интеграл
Готовая домашняя работа с ответами по Алгебре за 11 класс Мерзляк, Номировский, Полонский Учебник Алгоритм успеха Базовый и профильный уровни Вентана-граф 2017 ФГОС - §4. Правила вычисления производных 4.14