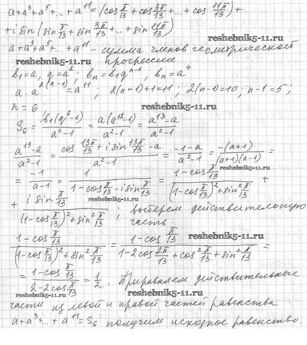
Алгебра за 11 класс Мерзляк Учебник Алгоритм успеха Углубленный уровень Вентана-граф §15 15.19
Решебник / §15 / 15.19


§1. Степень с произвольным действительным показателем. Показательная функция
§2. Показательные уравнения
§3. Показательные неравенства
§4. Логарифм и его свойства
§5. Логарифмическая функция и её свойства
§6. Логарифмические уравнения
§7. Логарифмические неравенства
§8. Производные показательной и логарифмической функций
§9. Первообразная
§10. Правила нахождения первообразной
§11. Площадь криволинейной трапеции. Определённый интеграл
§12. Вычисление объёмов тел
§13. Множество комплексных чисел
§14. Комплексная плоскость. Тригонометрическая форма комплексного числа
§15. Умножение и деление комплексных чисел, записанных в тригонометрической форме. Корень n-й степени из комплексного числа
§16. Решение алгебраических уравнений на множестве комплексных чисел
§17. Элементы комбинаторики и бином Ньютона
§18. Аксиомы теории вероятностей
§19. Условная вероятность
§20. Независимые события
§21. Случайная величина
§22. Схема Бернулли. Биномиальное распределение
§23. Характеристики случайной величины
§24. Математическое ожидание суммы случайных величин
Готовая домашняя работа с ответами по Алгебре за 11 класс Мерзляк, Номировский, Поляков Учебник Алгоритм успеха Углубленный уровень Вентана-граф 2019 ФГОС - §15. Умножение и деление комплексных чисел, записанных в тригонометрической форме. Корень n-й степени из комплексного числа 15.19