Физика за 10-11 класс Степанова Сборник задач Просвещение 34. тепловое расширение твердых тел и жидкостей 788
Решебник / свойства жидкостей / 34. тепловое расширение твердых тел и жидкостей / 788
 
                                Тема "Механика. Основы кинематики"
1. Материальная точка. Система отсчета. Путь и перемещение
2. Прямолинейное равномерное движение
3. Относительность движения
4. Неравномерное прямолинейное движение. Равноускоренное прямолинейное движение тел
5. Равномерное движение по окружности
Тема "Основы динамики"
6. Первый закон ньютона, масса, сила
7. Второй закон ньютона. Третий закон ньютона
8. Применение законов динамики. Закон всемирного тяготения. Сила тяжести
9. Движение тела под действием силы тяжести. Прямолинейное движение по вертикали
Движение тела, брошенного под углом к горизонту
Движение искусственных спутников
10. Сила упругости. Закон Гука
11. Движение тела под действием силы упругости
12. Сила трения. Трение покоя
13. Движение тел под действием силы трения
14. Движение тела в газе или жидкости
15. Вес тела. Невесомость
16. Движение тел под действием нескольких сил. Движение в горизонтальном и вертикальном направлении
Движение связанных тел
Тема "Элементы статики"
17. Равновесие тел при отсутствии вращения
18. Момент силы. Правило моментов. Устойчивость тел
Тема "Законы сохранения"
19. Импульс тела. Закон сохранения импульса
20. Механическая работа и мощность
21. Закон сохранения энергии. Превращение энергии вследствие работы силы трения
22. Движение жидкостей и газов
Тема "Механические колебания и волны"
23. Механические колебания
24. Механические волны. Звук
Тема "Молекулярная физика основные положения молекулярно-кинетической теории и их обоснование"
25. Молекулярное строение вещества
Тема "Свойства газов"
26. Основное уравнение МКТ. Скорость молекул
27. Уравнение состояния идеального газа
28. Изопроцессы в идеальном газе
Тема "Термодинамика"
29. Термодинамика идеального газа. Внутренняя энергия идеального газа
30. Первое начало термодинамики
31. Тепловые двигатели
32. Реальные газы. Насыщенный пар. Влажность воздуха
Тема "Свойства жидкостей"
33. Поверхностное натяжение. Смачивание и капиллярность
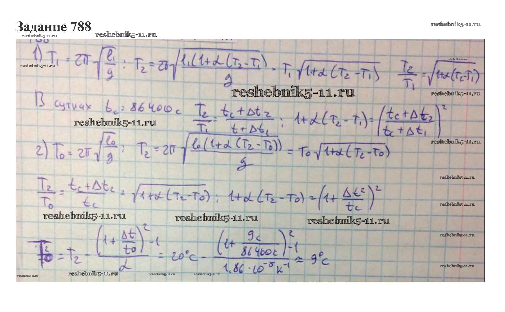
34. Тепловое расширение твердых тел и жидкостей
Тема "Свойства твердых тел"
35. Деформация твердых тел
Тема "Электродинамика. Электростатическое поле"
36. Электростатика
37. Электрическое поле. Напряженность поля. Потенциал. Разность потенциалов
38. Электроемкость. Конденсаторы
Тема "Постоянный ток"
39. Закон Ома для участка цепи. Сопротивление
40. Закон ома для полной цепи
41. Амперметр и вольтметр в электрической цепи. Шунты и добавочный резистор
42. Соединение источников тона. Правила кирхгофа
43. Работа и мощность тока
Тема "Магнитное поле"
44. Сила ампера
45. Сила лоренца
Тема "Электромагнитная индукция"
46. Электромагнитная индукция. Самоиндукция. Индуктивность
                                    
                        1109
                    
                                    
                        1110
                    
                                    
                        1111
                    
                                    
                        1112
                    
                                    
                        1113
                    
                                    
                        1114
                    
                                    
                        1115
                    
                                    
                        1116
                    
                                    
                        1117
                    
                                    
                        1118
                    
                                    
                        1119
                    
                                    
                        1120
                    
                                    
                        1121
                    
                                    
                        1122
                    
                                    
                        1123
                    
                                    
                        1124
                    
                                    
                        1125
                    
                                    
                        1126
                    
                                    
                        1127
                    
                                    
                        1128
                    
                                    
                        1129
                    
                                    
                        1130
                    
                                    
                        1131
                    
                                    
                        1132
                    
                                    
                        1133
                    
                                    
                        1134
                    
                                    
                        1135
                    
                                    
                        1136
                    
                                    
                        1137
                    
                                    
                        1138
                    
                                    
                        1139
                    
                                    
                        1140
                    
                                    
                        1141
                    
                                    
                        1142
                    
                                    
                        1143
                    
                                    
                        1144
                    
                                    
                        1145
                    
                                    
                        1146
                    
                                    
                        1147
                    
                                    
                        1148
                    
                                    
                        1149
                    
                                    
                        1150
                    
                                    
                        1151
                    
                                    
                        1152
                    
                                    
                        1153
                    
                                    
                        1154
                    
                                    
                        1155
                    
                                    
                        1156
                    
                                    
                        1157
                    
                                    
                        1158
                    
                                    
                        1159
                    
                                    
                        1160
                    
                                    
                        1161
                    
                                    
                        1162
                    
                                    
                        1163
                    
                                    
                        1164
                    
                                    
                        1165
                    
                                    
                        1166
                    
                                    
                        1167
                    
                                    
                        1168
                    
                                    
                        1169
                    
                                    
                        1170
                    
                            
                    Тема "Электрический ток в различных средах"
47. Ток в металлах
48. ток в жидкостях
49. Ток в газах
50. Ток в вакууме
51. Ток в полупроводниках
Тема "Электрические колебания"
52. Свободные электрические колебания. Колебательный контур
53. Переменный ток
54. Активное и реактивное сопротивление. Электрические цепи переменного напряжения
55. Трансформатор
Тема "Электромагнитные волны"
56. Свойства электромагнитных волн
57. Радиолокация. Телевидение
Готовая домашняя работа с ответами по Физике за 10, 11 класс Степанова Сборник задач Просвещение 2015 - 34. Тепловое расширение твердых тел и жидкостей 788