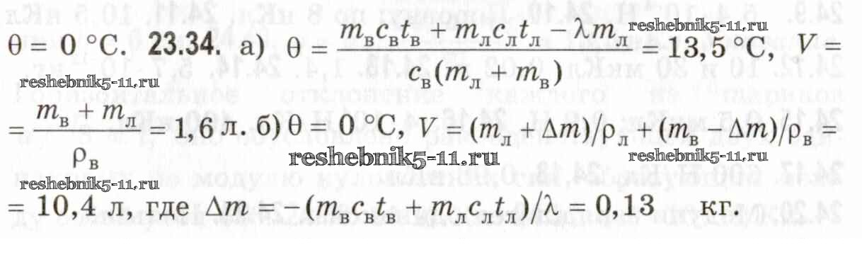
Физика за 10-11 класс Кирик Задачник Профильный уровень Илекса тема 23 23.34
Решебник / тема 23 / 23.34
 
                                1. Материальная точка. Система отсчета. Путь и перемещение
2. Прямолинейное равномерное движение
3. Прямолинейное равноускоренное движение
4. Свободное падение. Движение тела, брошенного вертикально вверх или под углом к горизонту
5. Равномерное движение по окружности
6. Законы Ньютона
7. Сила упругости. Сила трения
8. Закон всемирного тяготения. Сила тяжести и вес тела
9. Применение законов динамики
10. Элементы статики
11. Импульс. Закон сохранения импульса
12. Механическая работа. Энергия. Закон сохранения энергии
                                    
                        12.4
                    
                                    
                        12.5
                    
                                    
                        12.6
                    
                                    
                        12.7
                    
                                    
                        12.8
                    
                                    
                        12.9
                    
                                    
                        12.10
                    
                                    
                        12.11
                    
                                    
                        12.12
                    
                                    
                        12.15
                    
                                    
                        12.16
                    
                                    
                        12.17
                    
                                    
                        12.18
                    
                                    
                        12.19
                    
                                    
                        12.20
                    
                                    
                        12.21
                    
                                    
                        12.22
                    
                                    
                        12.23
                    
                                    
                        12.24
                    
                                    
                        12.25
                    
                                    
                        12.26
                    
                                    
                        12.30
                    
                                    
                        12.31
                    
                                    
                        12.32
                    
                                    
                        12.33
                    
                                    
                        12.36
                    
                                    
                        12.37
                    
                                    
                        12.38
                    
                                    
                        12.39
                    
                                    
                        12.40
                    
                                    
                        12.41
                    
                                    
                        12.42
                    
                                    
                        12.43
                    
                                    
                        12.44
                    
                                    
                        12.45
                    
                                    
                        12.46
                    
                                    
                        12.54
                    
                                    
                        12.55
                    
                                    
                        12.56
                    
                                    
                        12.57
                    
                                    
                        12.58
                    
                                    
                        12.59
                    
                                    
                        12.60
                    
                                    
                        12.61
                    
                                    
                        12.62
                    
                                    
                        12.63
                    
                                    
                        12.64
                    
                                    
                        12.65
                    
                                    
                        12.66
                    
                                    
                        12.67
                    
                                    
                        12.68
                    
                                    
                        12.69
                    
                                    
                        12.70
                    
                                    
                        12.71
                    
                            
                    13. Механические колебания
14. Механические волны. Звук
15. Молекулярно-кинетическая теория
16. Уравнение состояния идеального газа
17. Газовые законы
18. Законы термодинамики
                                    
                        18.4
                    
                                    
                        18.5
                    
                                    
                        18.9
                    
                                    
                        18.10
                    
                                    
                        18.11
                    
                                    
                        18.12
                    
                                    
                        18.13
                    
                                    
                        18.15
                    
                                    
                        18.16
                    
                                    
                        18.17
                    
                                    
                        18.18
                    
                                    
                        18.19
                    
                                    
                        18.20
                    
                                    
                        18.21
                    
                                    
                        18.22
                    
                                    
                        18.23
                    
                                    
                        18.24
                    
                                    
                        18.25
                    
                                    
                        18.26
                    
                                    
                        18.27
                    
                                    
                        18.28
                    
                                    
                        18.29
                    
                                    
                        18.30
                    
                                    
                        18.31
                    
                                    
                        18.34
                    
                                    
                        18.35
                    
                                    
                        18.36
                    
                                    
                        18.37
                    
                                    
                        18.39
                    
                                    
                        18.40
                    
                                    
                        18.41
                    
                                    
                        18.42
                    
                                    
                        18.43
                    
                                    
                        18.44
                    
                                    
                        18.45
                    
                                    
                        18.46
                    
                                    
                        18.47
                    
                                    
                        18.48
                    
                                    
                        18.49
                    
                                    
                        18.50
                    
                                    
                        18.51
                    
                                    
                        18.52
                    
                                    
                        18.53
                    
                                    
                        18.54
                    
                                    
                        18.55
                    
                                    
                        18.56
                    
                                    
                        18.62
                    
                                    
                        18.63
                    
                                    
                        18.64
                    
                                    
                        18.65
                    
                                    
                        18.66
                    
                                    
                        18.67
                    
                                    
                        18.68
                    
                                    
                        18.70
                    
                                    
                        18.71
                    
                                    
                        18.72
                    
                                    
                        18.73
                    
                                    
                        18.74
                    
                                    
                        18.75
                    
                                    
                        18.76
                    
                            
                    19. Тепловые двигатели
20. Свойства жидкостей
21. Насыщенные и ненасыщенные пары. Влажность воздуха
22. Свойства твердых тел
23. Изменения агрегатных состояний вещества
24. Электрический заряд. Закон Кулона. Напряженность электрического поля
25. Потенциал электрического поля. Проводники и диэлектрики в электрическом поле
26. Электрическая емкость. Конденсатор. Энергия электрического поля
27. Электрический ток. Закон Ома для участка цепи
28. Последовательное и параллельное соединение проводников
29. Электродвижущая сила. Закон Ома для полной цепи
30. Работа и мощность тока. Закон Джоуля-Ленца
31. Электрический ток в металлах, жидкостях, газах и вакууме. Полупроводники
                                    
                        31.3
                    
                                    
                        31.4
                    
                                    
                        31.7
                    
                                    
                        31.8
                    
                                    
                        31.9
                    
                                    
                        31.10
                    
                                    
                        31.11
                    
                                    
                        31.16
                    
                                    
                        31.17
                    
                                    
                        31.18
                    
                                    
                        31.19
                    
                                    
                        31.20
                    
                                    
                        31.21
                    
                                    
                        31.22
                    
                                    
                        31.23
                    
                                    
                        31.24
                    
                                    
                        31.25
                    
                                    
                        31.26
                    
                                    
                        31.27
                    
                                    
                        31.30
                    
                                    
                        31.31
                    
                                    
                        31.32
                    
                                    
                        31.33
                    
                                    
                        31.34
                    
                                    
                        31.35
                    
                                    
                        31.36
                    
                                    
                        31.37
                    
                                    
                        31.38
                    
                                    
                        31.39
                    
                                    
                        31.41
                    
                                    
                        31.43
                    
                                    
                        31.44
                    
                                    
                        31.45
                    
                                    
                        31.46
                    
                                    
                        31.47
                    
                                    
                        31.48
                    
                                    
                        31.49
                    
                                    
                        31.50
                    
                                    
                        31.51
                    
                                    
                        31.52
                    
                                    
                        31.53
                    
                                    
                        31.54
                    
                                    
                        31.55
                    
                                    
                        31.56
                    
                                    
                        31.57
                    
                                    
                        31.58
                    
                                    
                        31.59
                    
                                    
                        31.60
                    
                                    
                        31.61
                    
                                    
                        31.62
                    
                                    
                        31.63
                    
                                    
                        31.64
                    
                                    
                        31.66
                    
                                    
                        31.67
                    
                                    
                        31.68
                    
                                    
                        31.69
                    
                                    
                        31.70
                    
                                    
                        31.71
                    
                                    
                        31.72
                    
                                    
                        31.73
                    
                                    
                        31.74
                    
                                    
                        31.75
                    
                                    
                        31.76
                    
                                    
                        31.77
                    
                                    
                        31.78
                    
                                    
                        31.79
                    
                                    
                        31.80
                    
                                    
                        31.81
                    
                                    
                        31.82
                    
                                    
                        31.83
                    
                                    
                        31.84
                    
                                    
                        31.85
                    
                                    
                        31.86
                    
                                    
                        31.87
                    
                                    
                        31.90
                    
                                    
                        31.91
                    
                            
                    32. Магнитное поле. Вектор магнитной индукции
33. Электромагнитная индукция
34. Свободные электромагнитные колебания. Переменный ток
35. Электромагнитное поле. Электромагнитные волны
36. Волновые свойства света
37. Цвет. Взаимодействие света с веществом
38. Геометрическая оптика
39. Элементы теории относительности
40. Световые кванты
41. Физика атома
42. Физика атомного ядра
Олимпиадные задачи
                                    
                        О-1
                    
                                    
                        О-2
                    
                                    
                        О-4
                    
                                    
                        О-5
                    
                                    
                        О-6
                    
                                    
                        О-8
                    
                                    
                        О-9
                    
                                    
                        О-10
                    
                                    
                        О-11
                    
                                    
                        О-12
                    
                                    
                        О-13
                    
                                    
                        О-14
                    
                                    
                        О-15
                    
                                    
                        О-16
                    
                                    
                        О-17
                    
                                    
                        О-18
                    
                                    
                        О-19
                    
                                    
                        О-20
                    
                                    
                        О-21
                    
                                    
                        О-22
                    
                                    
                        О-23
                    
                                    
                        О-24
                    
                                    
                        О-25
                    
                                    
                        О-27
                    
                                    
                        О-29
                    
                                    
                        О-30
                    
                                    
                        О-31
                    
                                    
                        О-32
                    
                                    
                        О-33
                    
                                    
                        О-34
                    
                                    
                        О-35
                    
                                    
                        О-36
                    
                                    
                        О-37
                    
                                    
                        О-38
                    
                                    
                        О-39
                    
                                    
                        О-40
                    
                                    
                        О-41
                    
                                    
                        О-42
                    
                                    
                        О-43
                    
                                    
                        О-44
                    
                                    
                        О-45
                    
                                    
                        О-46
                    
                                    
                        О-47
                    
                                    
                        О-48
                    
                                    
                        О-49
                    
                                    
                        О-50
                    
                                    
                        О-51
                    
                                    
                        О-54
                    
                                    
                        О-56
                    
                                    
                        О-57
                    
                                    
                        О-59
                    
                                    
                        О-60
                    
                                    
                        О-61
                    
                                    
                        О-62
                    
                                    
                        О-63
                    
                                    
                        О-64
                    
                                    
                        О-65
                    
                                    
                        О-66
                    
                                    
                        О-68
                    
                                    
                        О-69
                    
                                    
                        О-70
                    
                                    
                        О-71
                    
                                    
                        О-72
                    
                                    
                        О-73
                    
                                    
                        О-74
                    
                                    
                        О-75
                    
                                    
                        О-76
                    
                                    
                        О-77
                    
                                    
                        О-78
                    
                                    
                        О-79
                    
                                    
                        О-80
                    
                                    
                        О-81
                    
                                    
                        О-82
                    
                                    
                        О-83
                    
                                    
                        О-85
                    
                                    
                        О-86
                    
                                    
                        О-87
                    
                                    
                        О-88
                    
                                    
                        О-89
                    
                                    
                        О-90
                    
                                    
                        О-91
                    
                                    
                        О-92
                    
                                    
                        О-93
                    
                                    
                        О-94
                    
                                    
                        О-95
                    
                                    
                        О-96
                    
                                    
                        О-97
                    
                                    
                        О-98
                    
                                    
                        О-99
                    
                                    
                        О-100
                    
                                    
                        О-101
                    
                                    
                        О-102
                    
                                    
                        О-103
                    
                                    
                        О-105
                    
                                    
                        О-107
                    
                                    
                        О-109
                    
                                    
                        О-110
                    
                                    
                        О-111
                    
                                    
                        О-112
                    
                                    
                        О-113
                    
                                    
                        О-114
                    
                                    
                        О-115
                    
                                    
                        О-116
                    
                                    
                        О-117
                    
                                    
                        О-118
                    
                                    
                        О-119
                    
                                    
                        О-120
                    
                                    
                        О-121
                    
                                    
                        О-122
                    
                                    
                        О-123
                    
                                    
                        О-124
                    
                                    
                        О-125
                    
                                    
                        О-126
                    
                                    
                        О-128
                    
                                    
                        О-129
                    
                                    
                        О-130
                    
                                    
                        О-131
                    
                                    
                        О-132
                    
                                    
                        О-133
                    
                                    
                        О-134
                    
                                    
                        О-135
                    
                                    
                        О-136
                    
                                    
                        О-138
                    
                                    
                        О-139
                    
                                    
                        О-140
                    
                                    
                        О-141
                    
                                    
                        О-142
                    
                                    
                        О-144
                    
                                    
                        О-145
                    
                                    
                        О-146
                    
                                    
                        О-147
                    
                                    
                        О-148
                    
                                    
                        О-149
                    
                                    
                        О-150
                    
                                    
                        О-151
                    
                                    
                        О-152
                    
                                    
                        О-153
                    
                                    
                        О-154
                    
                                    
                        О-155
                    
                                    
                        О-156
                    
                                    
                        О-157
                    
                                    
                        О-158
                    
                                    
                        О-159
                    
                                    
                        О-160
                    
                                    
                        О-161
                    
                                    
                        О-162
                    
                                    
                        О-163
                    
                                    
                        О-164
                    
                                    
                        О-165
                    
                                    
                        О-167
                    
                                    
                        О-170
                    
                                    
                        О-171
                    
                                    
                        О-172
                    
                                    
                        О-173
                    
                                    
                        О-175
                    
                                    
                        О-176
                    
                                    
                        О-177
                    
                                    
                        О-179
                    
                                    
                        О-181
                    
                                    
                        О-182
                    
                                    
                        О-183
                    
                                    
                        О-184
                    
                                    
                        О-185
                    
                                    
                        О-188
                    
                                    
                        О-189
                    
                                    
                        О-190
                    
                                    
                        О-192
                    
                                    
                        О-193
                    
                                    
                        О-194
                    
                                    
                        О-195
                    
                                    
                        О-196
                    
                                    
                        О-197
                    
                                    
                        О-198
                    
                                    
                        О-199
                    
                                    
                        О-200
                    
                                    
                        О-202
                    
                                    
                        О-203
                    
                                    
                        О-204
                    
                                    
                        О-205
                    
                            
                    Готовая домашняя работа с ответами по Физике за 10, 11 класс Кирик, Генденштейн, Гельфгат Задачник Профильный уровень Илекса 2020 - 23. Изменения агрегатных состояний вещества 23.34