Геометрия за 11 класс Ершова Самостоятельные и контрольные работы Илекса кр-1. вариант А2
Решебник / к учебнику Атанасяна 10-11 / контрольная работа / кр-1. вариант / А2


к учебнику Атанасяна 10-11 классам
Самостоятельные работы
СР-1. Варианты
СР-2. Варианты
СР-3. Варианты
СР-4. Варианты
СР-5. Варианты
СР-7. Варианты
СР-8. Варианты
СР-9. Варианты
СР-10. Варианты
СР-11. Варианты
СР-13. Варианты
СР-14. Варианты
СР-15. Варианты
СР-16. Варианты
СР-17. Варианты
СР-18. Варианты
СР-19. Варианты
СР-20. Варианты
СР-22. Варианты
СР-23. Варианты
СР-24. Варианты
СР-25. Варианты
СР-26. Варианты
СР-27. Варианты
Контрольные работы
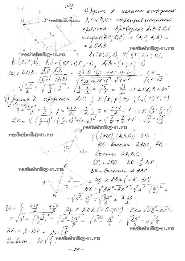
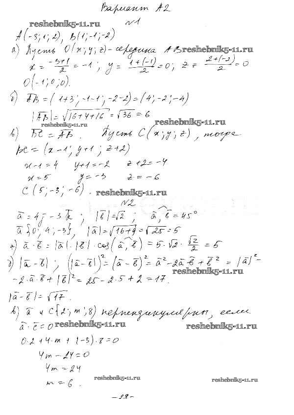
КР-1. Варианты
КР-2. Варианты
КР-3. Варианты
КР-4. Варианты
к учебнику Погорелова 7-11 классам
Самостоятельные работы
СР-8(30). Варианты
СР-9(31). Варианты
СР-10(32). Варианты
СР-11(33). Варианты
СР-12(34). Варианты
СР-13(35). Варианты
СР-15(37). Варианты
СР-16(38). Варианты
СР-17(39). Варианты
СР-18(40). Варианты
СР-19(41). Варианты
СР-21(43). Варианты
СР-22(44). Варианты
СР-23. Варианты
СР-25. Варианты
СР-26. Варианты
СР-27. Варианты
СР-28. Варианты
Контрольные работы
КР-2(8). Варианты
КР-3(9). Варианты
КР-7. Варианты
КР-8. Варианты
к учебнику Погорелова 10-11 классам
Самостоятельные работы
СР-23. Варианты
СР-24. Варианты
СР-25. Варианты
СР-27. Варианты
СР-28. Варианты
СР-29. Варианты
СР-30. Варианты
СР-31. Варианты
СР-32. Варианты
СР-33. Варианты
СР-35. Варианты
СР-36. Варианты
СР-37. Варианты
СР-38. Варианты
Контрольные работы
КР-4. Варианты
КР-5. Варианты
КР-6. Варианты
Готовая домашняя работа с ответами по Геометрии за 11 класс Ершова, Голобородько Самостоятельные и контрольные работы Илекса 2004 ФГОС - КР-1. Варианты А2