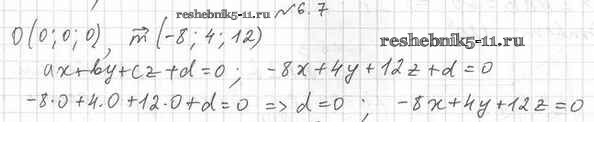
Геометрия за 11 класс Мерзляк Учебник Алгоритм успеха Базовый уровень Вентана-граф §6 6.7
Решебник / §6 / 6.7

§1. Декартовы координаты точки в пространстве
§2. Векторы в пространстве
§3. Сложение и вычитание векторов
§4. Умножение вектора на число. Гомотетия
§5. Скалярное произведение векторов
§6. Геометрическое место точек пространства
§7. Цилиндр
§8. Комбинации цилиндра и призмы
§9. Конус
§10. Усечённый конус
§11. Комбинации конуса и пирамиды
§12. Сфера и шар. Уравнение сферы
§13. Взаимное расположение сферы и плоскости
Готовая домашняя работа с ответами по Геометрии за 11 класс Мерзляк, Номировский, Полонский, Якир Учебник Алгоритм успеха Базовый уровень Вентана-граф 2019 ФГОС - §6. Геометрическое место точек пространства 6.7