Химия за 11 класс Габриелян Рабочая тетрадь Базовый уровень Дрофа Кислоты 4
Решебник / Кислоты / 4

Основные сведения о строении атома
Строение электронных оболочек атомов
Периодический закон и Периодическая система Менделеева
Ионная связь. Ионная кристаллическая решетка
Ковалентная связь. Атомная и молекулярная кристаллические решеткисвязь. Ионная кристаллическая решетка
Закон постоянства состава вещества. Расчеты, связанные с понятием массовая доля элемента в веществе
Металлическая связь. Металлические кристаллические решетки
Водородная связь. Единая природа химических связей
Полимеры органические и неорганические
Газообразное состояние вещества. Природные газообразные смеси - воздух и природный газ
Представители газов (водород, кислород, углекислый газ, аммиак, этилен)
Жидкое состояние веществ. Вода. Массовая доля растворенного вещества
Твердое состояние веществ. Аморфное состояние вещества. Жидкие кристаллы
Дисперсные системы
Готовимся к ЕГЭ. Строение вещества
Понятие о химической реакции. Реакции, идущие без изменения состава веществ
Классификация химических реакций, протекающих с изменением состава веществ
Скорость химической реакции
Обратимые и необратимые химические реакции. Химическое равновесие
Окислительно-восстановительные реакции
Электролиз
Роль воды в химических реакциях
Гидролиз
Готовимся к ЕГЭ. Химические реакции
Неметаллы
Металлы
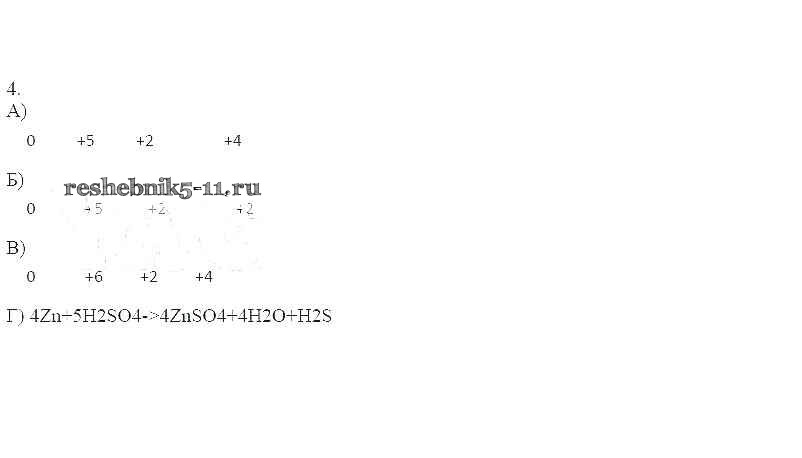
Кислоты
Основания
Соли
Генетическая связь между классами соединений
Готовимся к ЕГЭ. Вещества и их свойства
Итоговая контрольная работа
Готовая домашняя работа с ответами по Химии за 11 класс Габриелян, Яшукова Рабочая тетрадь Базовый уровень Дрофа 2014 - Кислоты 4