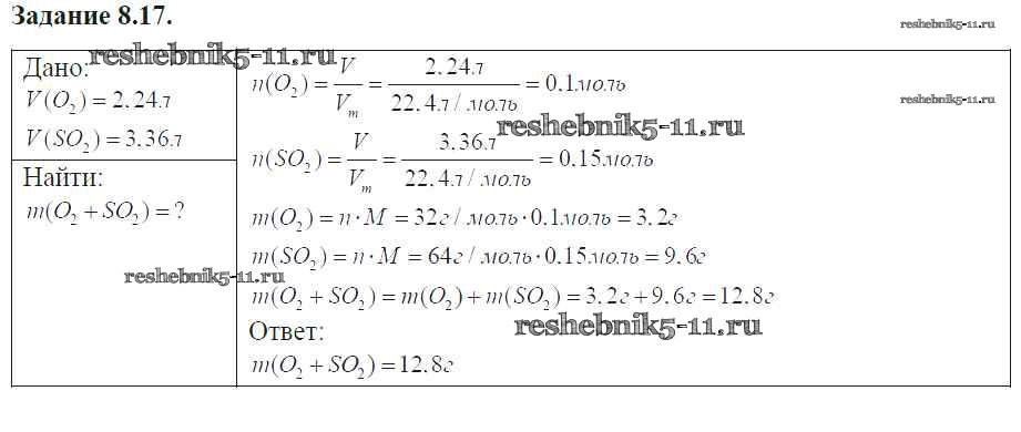
Химия за 8-11 класс Хомченко Сборник задач и упражнений Новая волна глава 8 17
Решебник / глава 8 / 17

Глава 1
Глава 2
Глава 3
Глава 4
Глава 5
Глава 6
Глава 7
Глава 8
Глава 9
Глава 10
Готовая домашняя работа с ответами по Химии за 8, 9, 10, 11 класс Хомченко Сборник задач и упражнений Новая волна 2011 ФГОС - Глава 8 17