Биология за 5 класс Пасечник Рабочая тетрадь Вертикаль Дрофа § 18 стр. 43

Решебник №1 / § 18 / стр. 43

Решебник №2 / § 18 / стр. 43

§ 1. Биология — наука о живой природе

§ 2. Методы исследования в биологии

§ 3. Разнообразие живой природы. Царства живых организмов. Отличительные признаки живого

§ 4. Среды обитания организмов

§ 5. Экологические факторы и их влияние на живые организмы

§ 6. Устройство увеличительных приборов

§ 7. Строение клетки

§ 8. Химический состав клетки

§ 9. Жизнедеятельность клетки, её деление и рост

§ 10. Ткани

§ 11. Строение и жизнедеятельность бактерий

§ 12. Роль бактерий в природе и жизни человека

§ 13. Общая характеристика грибов

§ 14. Шляпочные грибы

§ 15. Плесневые грибы и дрожжи

§ 16. Грибы-паразиты

§ 17. Разнообразие, распространение, значение растений

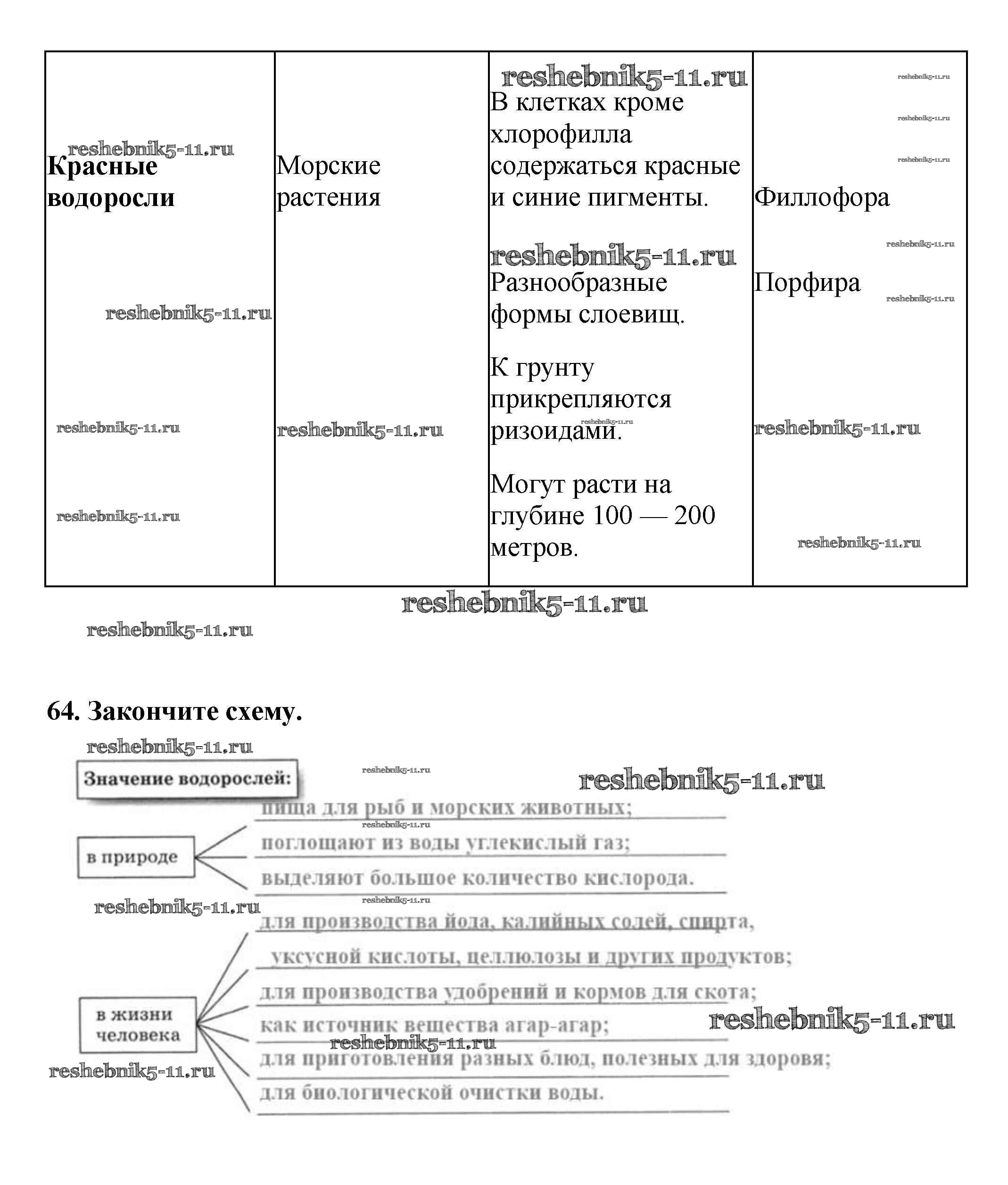
§ 18. Водоросли

§ 19. Лишайники

§ 20. Мхи

§ 21. Плауны. Хвощи. Папоротники

§ 22. Голосеменные

§ 23. Покрытосеменные, или Цветковые

§ 24. Происхождение растений. Основные этапы развития растительного мира

Тренировочные задания

Готовая домашняя работа с ответами по Биологии за 5 класс Пасечник Рабочая тетрадь Вертикаль Дрофа 2015 ФГОС - § 18. Водоросли стр. 43