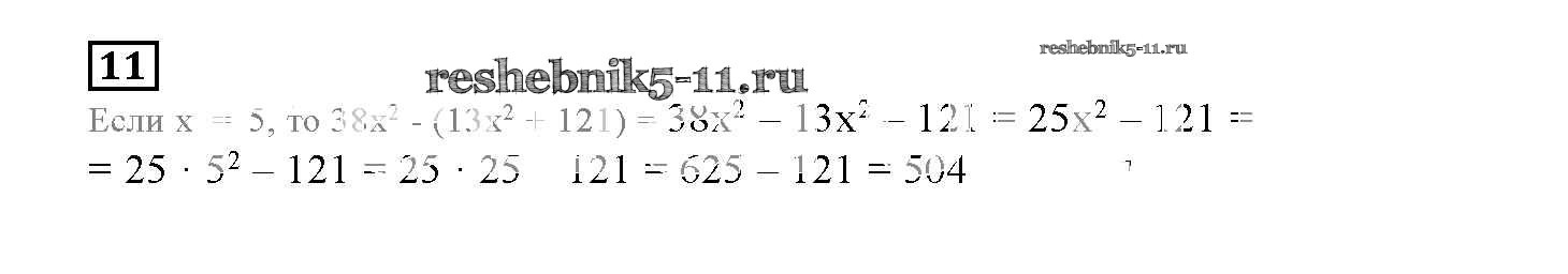
Математика за 5 класс Ерина Рабочая тетрадь УМК Экзамен страница 54. §16 11

Решебник 1 / часть 1 / страница 54. §16 / 11

Решебник 2 / часть 1 / страница 54. §16 / 11

Часть 1

Страница 4. §1

Страница 8. §2

Страница 13. §3

Страница 16. §4

Страница 19. §5

Страница 22. §6

Страница 25. §7

Страница 30. §8

Страница 32. §9

Страница 35. §10

Страница 39. §11

Страница 42. §12

Страница 46. §13

Страница 49. §14

Страница 52. §15

Страница 54. §16

Страница 57. §17

Страница 59. §18

Страница 62. §19

Страница 65. §20

Страница 70. §21

Страница 73. §22

Страница 76. §23

Страница 79. §24

Часть 2

Страница 82. §25

Страница 85. §26

Страница 88. §27

Страница 91. §28

Страница 93. §29

Страница 97. §30

Страница 98. §31

Страница 101. §32

Страница 103. §33

Страница 106. §34

Страница 108. §35

Страница 110. §36

Страница 112. §37

Страница 115. §38

Страница 117. §39

Страница 118. §40

Страница 121. §41

Страница 124. §42

Страница 126. §43

Готовая домашняя работа с ответами по Математике за 5 класс Ерина Рабочая тетрадь УМК Часть 1, 2 Экзамен 2019 ФГОС - Страница 54. §16 11