Математика за 5 класс Дорофеев Дидактические материалы Просвещение проверочная работа 8. вариант 2
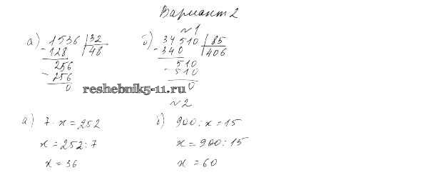
Решебник / проверочная работа 8. вариант / 2

Проверочная работа 1. Варианты
Проверочная работа 2. Варианты
Проверочная работа 3. Варианты
Проверочная работа 4. Варианты
Проверочная работа 5. Варианты
Проверочная работа 6. Варианты
Проверочная работа 7. Варианты
Проверочная работа 8. Варианты
Проверочная работа 9. Варианты
Проверочная работа 10. Варианты
Проверочная работа 11. Варианты
Проверочная работа 12. Варианты
Проверочная работа 13. Варианты
Проверочная работа 14. Варианты
Проверочная работа 15. Варианты
Проверочная работа 16. Варианты
Проверочная работа 17. Варианты
Проверочная работа 18. Варианты
Проверочная работа 19. Варианты
Проверочная работа 20. Варианты
Проверочная работа 21. Варианты
Проверочная работа 22. Варианты
Проверочная работа 23. Варианты
Проверочная работа 24. Варианты
Проверочная работа 25. Варианты
Проверочная работа 26. Варианты
Проверочная работа 27. Варианты
Проверочная работа 28. Варианты
Проверочная работа 29. Варианты
Проверочная работа 30. Варианты
Проверочная работа 31. Варианты
Проверочная работа 32. Варианты
Проверочная работа 33. Варианты
Проверочная работа 34. Варианты
Проверочная работа 35. Варианты
Проверочная работа 36. Варианты
Проверочная работа 37. Варианты
Готовая домашняя работа с ответами по Математике за 5 класс Дорофеев, Кузнецова Дидактические материалы Просвещение 2017 ФГОС - Проверочная работа 8. Варианты 2