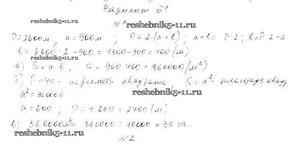
Математика за 5 класс Ершова Самостоятельные и контрольные работы Илекса ср-14. вариант А2

Решебник / самостоятельная работа / ср-14. вариант / А2

Самостоятельные работы

СР-1. Варианты

СР-2. Варианты

СР-3. Варианты

СР-4. Варианты

СР-5. Варианты

СР-6. Варианты

СР-7. Варианты

СР-8. Варианты

СР-9. Варианты

СР-10. Варианты

СР-11. Варианты

СР-12. Варианты

СР-13. Варианты

СР-14. Варианты

СР-15. Варианты

СР-16. Варианты

СР-17. Варианты

СР-18. Варианты

СР-19. Варианты

СР-20. Варианты

СР-21. Варианты

СР-22. Варианты

СР-23. Варианты

СР-24. Варианты

СР-25. Варианты

СР-26. Варианты

СР-27. Варианты

СР-28. Варианты

СР-29. Варианты

СР-30. Варианты

СР-31. Варианты

СР-32. Варианты

СР-33. Варианты

СР-34. Варианты

СР-35. Варианты

СР-36. Варианты

СР-37. Варианты

СР-38. Варианты

Контрольные работы

КР-1. Варианты

КР-2. Варианты

КР-3. Варианты

КР-4. Варианты

КР-5. Варианты

КР-6. Варианты

КР-7. Варианты

КР-8. Варианты

КР-9. Варианты

КР-10. Варианты

КР-11. Варианты

КР-12. Варианты

КР-13. Варианты

КР-14. Варианты

КР-15. Варианты

Готовая домашняя работа с ответами по Математике за 5 класс Ершова, Голобородько Самостоятельные и контрольные работы Илекса 2015 ФГОС - СР-14. Варианты А2