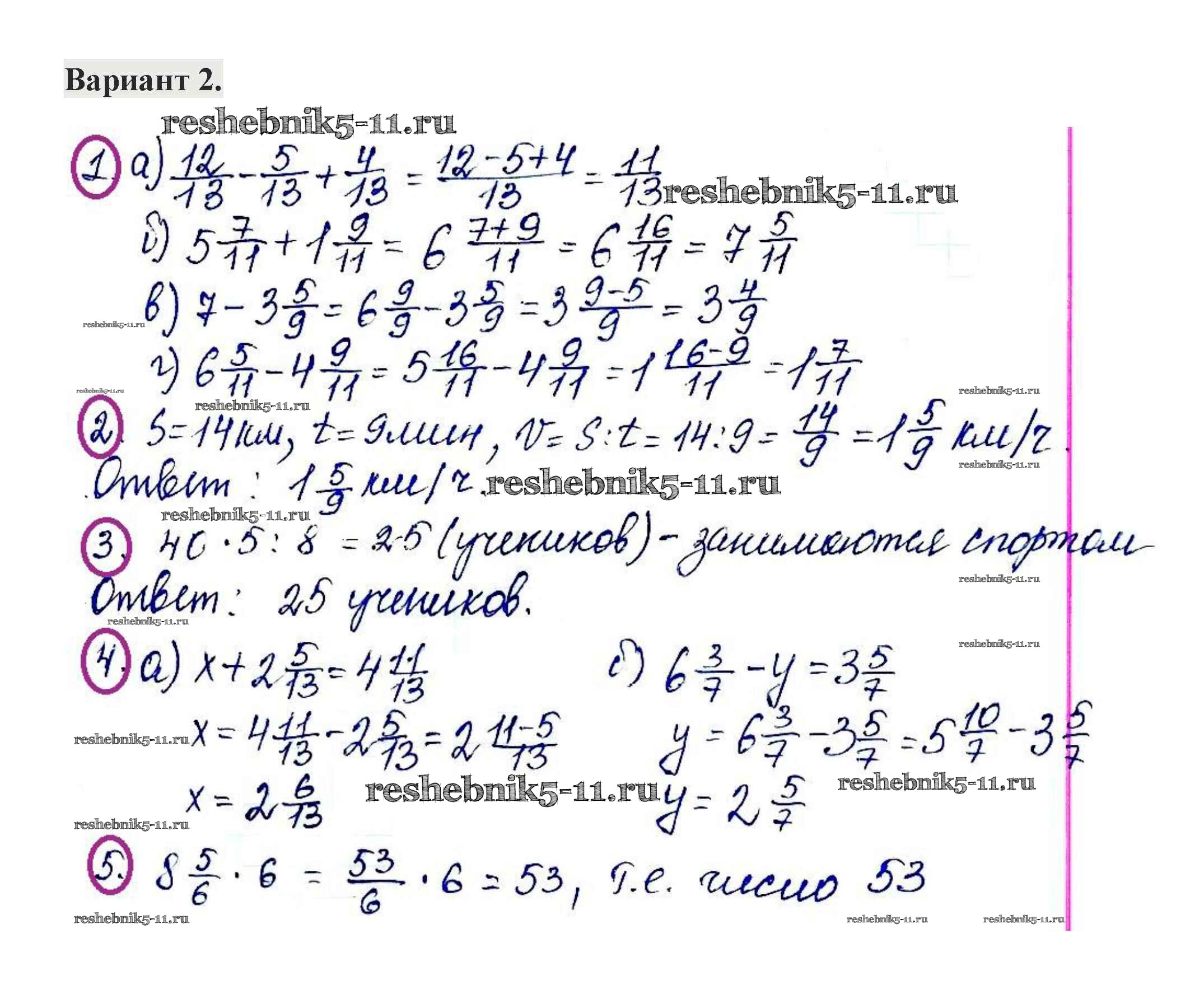
Математика за 5 класс Жохов Контрольные работы Мнемозина кр-8. вариант 2

Решебник / кр-8. вариант / 2

Решебник 2 / кр-8. вариант / 2

Сложение и вычитание

Тест 1. Варианты

Тест 2. Варианты

КТ. Варианты

ПР. Варианты

КР-1. Варианты

КР-2. Варианты

КР-3. Варианты

КР-4. Варианты

КР-5. Варианты

КР-6. Варианты

КР-7. Варианты

КР-8. Варианты

КР-9. Варианты

КР-10. Варианты

КР-11. Варианты

КР-12. Варианты

КР-13. Варианты

КР-14. Варианты

Итоговая контрольная работа. Варианты

Готовая домашняя работа с ответами по Математике за 5 класс Жохов, Крайнева Контрольные работы Мнемозина 2012 ФГОС - КР-8. Варианты 2