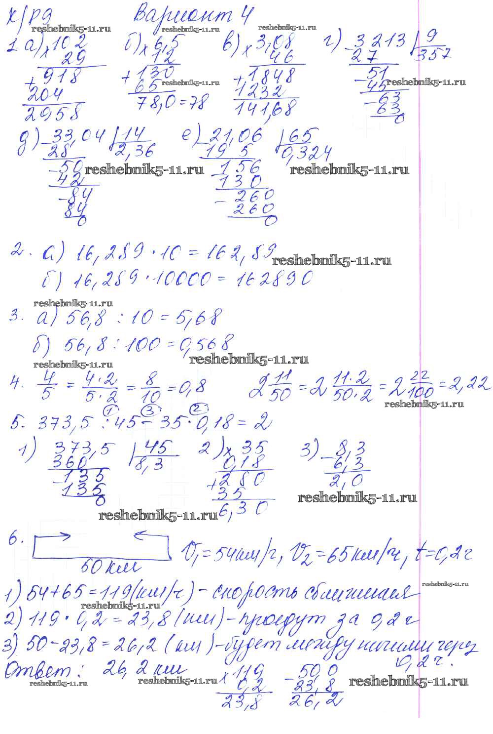
Математика за 5 класс Дудницын Контрольные работы УМК Экзамен кр-9. вариант 4
Решебник / кр-9. вариант / 4

КР-1. Варианты
КР-2. Варианты
КР-3. Варианты
КР-4. Варианты
КР-5. Варианты
КР-6. Варианты
КР-7. Варианты
КР-8. Варианты
КР-9. Варианты
КР-10. Варианты
КР-11. Варианты
КР-12. Варианты
КР-13. Варианты
КР-14. Варианты
Готовая домашняя работа с ответами по Математике за 5 класс Дудницын, Кронгауз Контрольные работы УМК Экзамен 2011 ФГОС - КР-9. Варианты 4