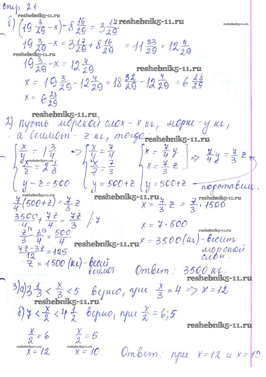
Математика за 5 класс Ерина Рабочая тетрадь УМК Экзамен часть 2.страница 21
Решебник / часть 2.страница / 21

Часть 1. Страницы
Часть 2. Страницы
Готовая домашняя работа с ответами по Математике за 5 класс Ерина Рабочая тетрадь УМК Часть 1, 2 Экзамен 2016 ФГОС - Часть 2. Страницы 21