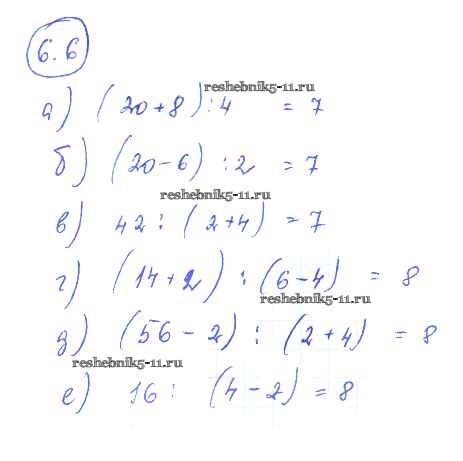
Математика за 5 класс Зубарева Рабочая тетрадь УМК Мнемозина §6 6
Решебник №1 / §6 / 6

Решебник №2 / §6 / 6

Решебник №3 / §6 / 6

§1. Десятичная система счисления
§2. Числовые и буквенные выражения
§3. Язык геометрических рисунков
§4. Прямая. Отрезок. Луч
§5. Сравнение отрезков. Длина отрезка
§6. Ломаная
§7. Координатный луч
§8. Округление натуральных чисел
§9. Прикидка результата действия
§10. Вычисления с многозначными числами
§11. Прямоугольник
§12. Формулы
§13. Законы арифметических действий
§14. Уравнения
§15-17. Упрощение выражений. Математический язык. Математическая модель
§18. Деление с остатком
§19. Обыкновенные дроби
§20. Отыскание части от целого и целого по его части
§21. Основное свойство дроби
§22. Правильные и неправильные дроби. Смешанные числа
§23. Окружность и круг
§24. Сложение и вычитание обыкновенных дробей
§25. Сложение и вычитание смешанных чисел
§26. Умножение и деление обыкновенной дроби на натуральное число
§27. Определение угла. Развёрнутый угол
§28. Сравнение углов наложением
§29. Измерение углов
§30. Биссектриса угла
§31. Треугольник
§32. Площадь треугольника
§33. Свойство углов треугольника
§34. Расстояние между двумя точками. Масштаб
§35. Расстояние от точки до прямой. Перпендикулярные прямые
§36. Серединный перпендикуляр
§37. Свойство биссектрисы угла
§38. Понятие десятичной дроби. Чтение и запись десятичных дробей
§39. Умножение и деление десятичной дроби на 10, 100, 1000 и т. д..
§40. Перевод величин из одних единиц измерения в другие
§41. Сравнение десятичных дробей
§42. Сложение и вычитание десятичных дробей
§43. Умножение десятичных дробей
§44. Степень числа
§45. Среднее арифметическое. Деление десятичной дроби на натуральное число
§46. Деление десятичной дроби на десятичную дробь
§47. Понятие процента
§48. Задачи на проценты
§49. Микрокалькулятор
§50. Прямоугольный параллелепипед
§51. Развёртка прямоугольного параллелепипеда
§52. Объём прямоугольного параллелепипеда
Готовая домашняя работа с ответами по Математике за 5 класс Зубарева Рабочая тетрадь УМК Часть 1, 2 Мнемозина 2014 ФГОС - §6. Ломаная 6