Математика за 5 класс Мерзляк Рабочая тетрадь Алгоритм успеха Вентана-граф часть 1. страница 22
Решебник №1 к учебнику 2020 / часть 1. страница / 22



Решебник №2 / часть 1. страница / 22



Решебник №3 / часть 1. страница / 22

Часть 1. Страницы
4
5
6
7
8
9
10
11
12
13
14
15
16
17
18
19
20
21
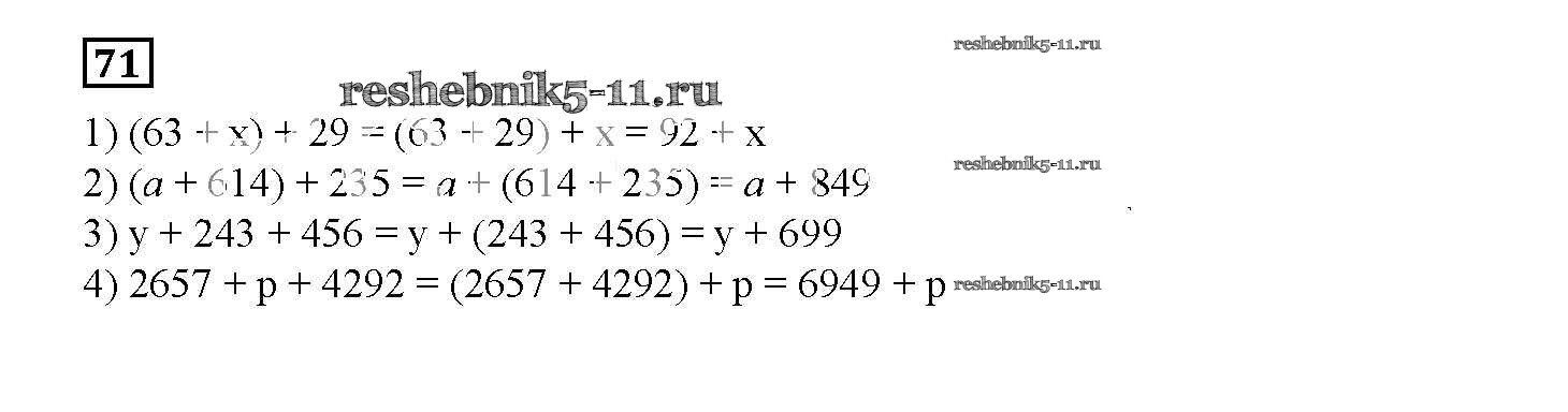
22
23
24
25
26
27
28
29
30
31
32
33
34
35
36
37
38
39
40
41
42
43
44
45
46
47
48
49
50
51
52
53
54
55
56
57
58
59
60
61
62
63
64
65
66
67
68
69
70
71
72
73
74
75
76
77
78
79
80
81
82
83
84
85
86
87
88
89
90
91
92
93
94
95
96
97
98
99
100
101
102
103
104
105
106
107
108
109
Часть 2. Страницы
Готовая домашняя работа с ответами по Математике за 5 класс Мерзляк, Полонский, Якир Рабочая тетрадь Алгоритм успеха Часть 1, 2 Вентана-граф 2016 ФГОС - Часть 1. Страницы 22