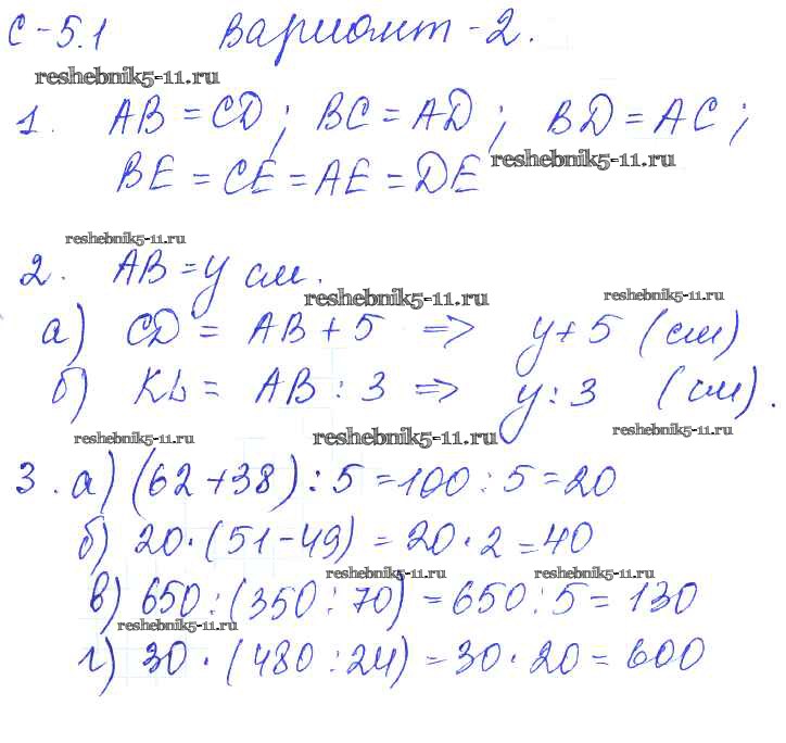
Математика за 5 класс Зубарева Самостоятельные работы Мнемозина СР-5.1 2
Решебник / СР-5.1 / 2

Готовая домашняя работа с ответами по Математике за 5 класс Зубарева, Шанцева, Мильштейн Самостоятельные работы Мнемозина 2016 ФГОС - СР-5.1 2
Готовая домашняя работа с ответами по Математике за 5 класс Зубарева, Шанцева, Мильштейн Самостоятельные работы Мнемозина 2016 ФГОС - СР-5.1 2