Математика за 5 класс Кузнецова Дидактические материалы Академический школьный учебник Просвещение о-40 2
Решебник / обучающая работа / о-40 / 2

Обучающие работы
О-1. Чтение и запись чисел
О-2. Представление числа в виде суммы разрядных слагаемых
О-3. Сравнение натуральных чисел
О-4. Переход от одних единиц измерений к другим
О-5. Округление натуральных чисел
О-6. Решение комбинаторных задач
О-7. Сложение и вычитание
О-8. Прикидка и оценка
О-9. Проверка ответа задачи
О-10. Решение задач
О-11. Умножение
О-12. Деление
О-13. Нахождение неизвестных компонентов умножения и деления
О-14. Прикидка и оценка
О-15. Решение задач
О-16. Порядок действий
О-17. Степень числа
О-18. Решение задач на движение
О-19. Решение задач на движение по реке
О-20. Свойства сложения и умножения
О-21. Решение задач на части
О-22. Решение задач на уравнивание
О-23. Делители и кратные
О-24. Простые и составные числа
О-25. Признаки делимости
О-26. Деление с остатком
О-27. Что такое дробь
О-28. Приведение дробей к новому знаменателю. Сокращение дробей
О-29. Приведение дробей к общему знаменателю
О-30. Сравнение дробей
О-31. Деление и дроби. Представление натуральных чисел дробями
О-32. Сложение дробей
О-33. Вычитание дробей
О-34. Выделение целой части из неправильной дроби. Представление смешанной дроби в виде неправильной дроби
О-35. Сложение и вычитание смешанных дробей
О-36. Умножение дробей
О-37. Деление дробей
О-38. Нахождение части целого
О-39. Нахождение целого по его части
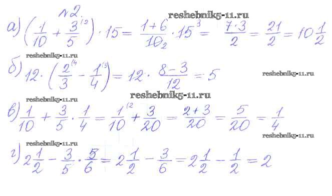
О-40. Все действия с дробями
Проверочные работы
ПР №1. Ломаная
ПР №2. Окружность
ПР №3. Запись натуральных чисел
ПР №4. Сравнение чисел
ПР №5. Координатная прямая
ПР №6. Сложение и вычитание
ПР №7. Сложение и вычитание - решение задач
ПР №8. Умножение и деление
ПР №9. Умножение и деление - решение задач
ПР №10. Порядок действий в вычислениях
ПР №11. Порядок действий в вычислениях
ПР №12. Степень числа
ПР №13. Задачи на движение
ПР №14. Задачи на движение по реке
ПР №15. Использование свойств действий при вычислении
ПР №16. Решение задач по части
ПР №17. Решение задач на уравнивание
ПР №18. Углы
ПР №19. Делители и кратные
ПР №20. Признаки делимости
ПР №21. Прямоугольники
ПР №22. Треугольники
ПР №23. Площади
ПР №24. Что такое дробь
ПР №25. Координатная прямая
ПР №26. Основное свойство дроби
ПР №27. Приведение дробей к общему знаменателю
ПР №28. Сравнение дробей
ПР №29. Натуральные числа и дроби
ПР №30. Сложение дробей
ПР №31. Вычитание дробей
ПР №32. Смешанные дроби
ПР №33. Сложение смешанных дробей
ПР №34. Вычитание смешанных дробей
ПР №35. Умножение дробей
ПР №36. Решение задач
ПР №37. Деление дробей
ПР №38. Решение задач
ПР №39. Нахождение части целого
ПР №40. Нахождение целого по его части
ПР №41. Многогранники
ПР №42. Прямоугольный параллелепипед
ПР №43. Объём
ПР №44. Пирамида
Готовая домашняя работа с ответами по Математике за 5 класс Кузнецова, Минаева, Рослова, Суворова Дидактические материалы Академический школьный учебник Просвещение 2014 ФГОС - О-40. Все действия с дробями 2