Математика за 6 класс Попов Дидактические материалы УМК Экзамен кр-7. вариант 1
Решебник / контрольная работа / кр-7. вариант / 1

Ответы к самостоятельным работам
СР-1. Варианты
СР-2. Варианты
СР-3. Варианты
СР-4. Варианты
СР-5. Варианты
СР-6. Варианты
СР-7. Варианты
СР-8. Варианты
СР-9. Варианты
СР-10. Варианты
СР-11. Варианты
СР-12. Варианты
СР-13. Варианты
СР-14. Варианты
СР-15. Варианты
СР-16. Варианты
СР-17. Варианты
СР-18. Варианты
СР-19. Варианты
СР-20. Варианты
СР-21. Варианты
СР-22. Варианты
СР-23. Варианты
СР-24. Варианты
СР-25. Варианты
СР-26. Варианты
СР-27. Варианты
СР-28. Варианты
СР-29. Варианты
СР-30. Варианты
СР-31. Варианты
СР-32. Варианты
СР-33. Варианты
СР-34. Варианты
СР-35. Варианты
СР-36. Варианты
СР-37. Варианты
СР-38. Варианты
Ответы к контрольным работам
КР-1. Варианты
КР-2. Варианты
КР-3. Варианты
КР-4. Варианты
КР-5. Варианты
КР-6. Варианты
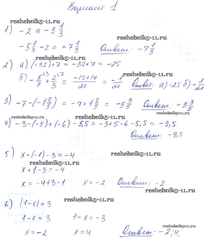
КР-7. Варианты
КР-8. Варианты
КР-9. Варианты
КР-10. Варианты
Готовая домашняя работа с ответами по Математике за 6 класс Попов Дидактические материалы УМК Экзамен 2017 ФГОС - КР-7. Варианты 1