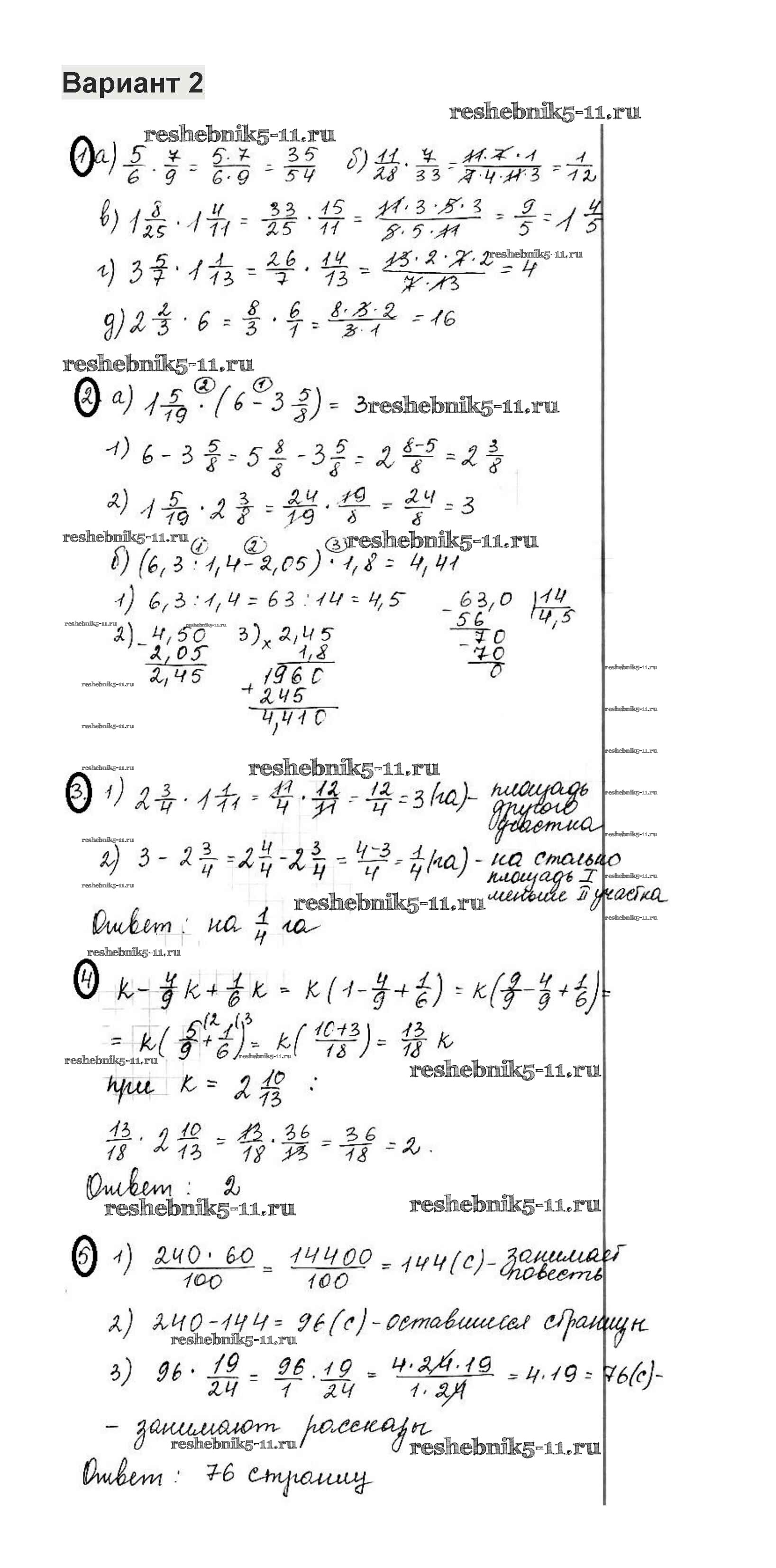
Математика за 6 класс Жохов Контрольные работы Мнемозина кр-4. вариант 2
Решебник / кр-4. вариант / 2

Решебник 2 / кр-4. вариант / 2

КР-1. Варианты
КР-2. Варианты
КР-3. Варианты
КР-4. Варианты
КР-5. Варианты
КР-6. Варианты
КР-7. Варианты
КР-8. Варианты
КР-9. Варианты
КР-10. Варианты
КР-11. Варианты
КР-12. Варианты
КР-13. Варианты
КР-14. Варианты
КР-15. Варианты
Итоговая контрольная работа
Готовая домашняя работа с ответами по Математике за 6 класс Жохов, Крайнева Контрольные работы Мнемозина 2011 ФГОС - КР-4. Варианты 2