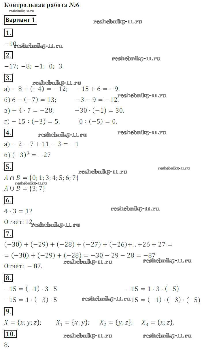
Математика за 6 класс Кузнецова Контрольные работы Просвещение кр-6. вариант 1
Решебник / кр-6. вариант / 1

Готовая домашняя работа с ответами по Математике за 6 класс Кузнецова, Минаева, Рослова, Суворова Контрольные работы Просвещение 2017 ФГОС - КР-6. Варианты 1