Математика за 6 класс Ершова Самостоятельные и контрольные работы Илекса кр-11 А-2
Решебник / контрольные работы / кр-11 / А-2


Самостоятельные работы
СР-1
СР-2
СР-3
СР-4
СР-6
СР-7
СР-8
СР-9
СР-10
СР-11
СР-12
СР-13
СР-15
СР-16
СР-17
СР-20
СР-21
СР-23
СР-24
СР-26
СР-27
СР-29
СР-30
СР-31
СР-33
СР-34
СР-35
Контрольные работы
КР-1
КР-2
КР-3
КР-4
КР-5
КР-6
КР-7
КР-8
КР-9
КР-10
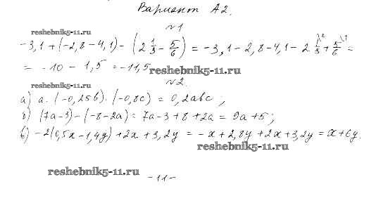
КР-11
КР-12
КР-13
КР-14
КР-15
Готовая домашняя работа с ответами по Математике за 6 класс Ершова, Голобородько Самостоятельные и контрольные работы Илекса 2015 ФГОС - КР-11 А-2