ОБЖ за 6 класс Латчук Рабочая тетрадь Вертикаль Дрофа параграф §8
Решебник / параграф / §8

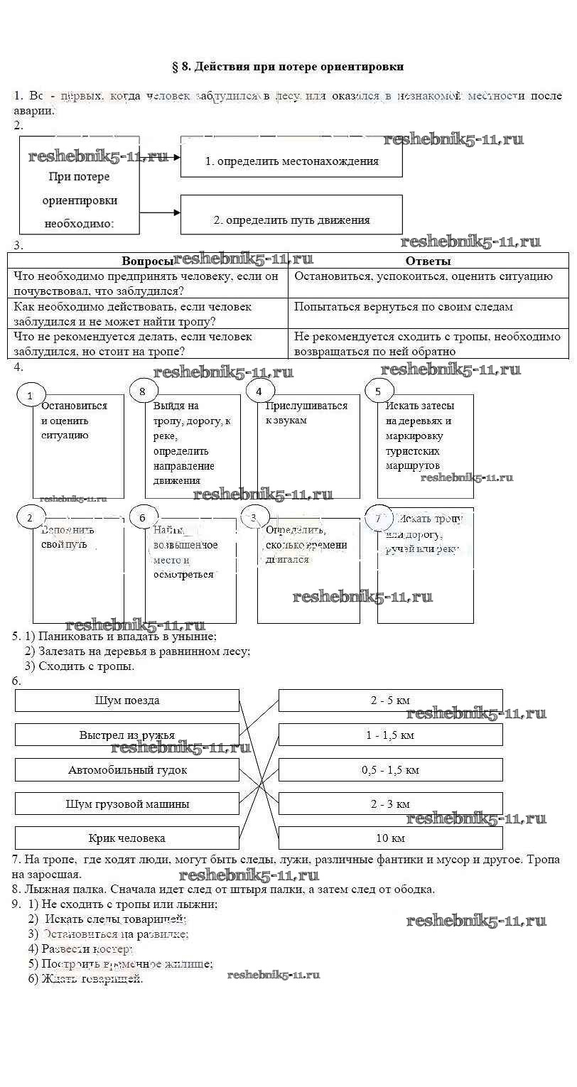
Готовая домашняя работа с ответами по ОБЖ за 6 класс Латчук, Миронов, Бурдакова Рабочая тетрадь Вертикаль Дрофа 2017 ФГОС - Параграфы §8
Готовая домашняя работа с ответами по ОБЖ за 6 класс Латчук, Миронов, Бурдакова Рабочая тетрадь Вертикаль Дрофа 2017 ФГОС - Параграфы §8