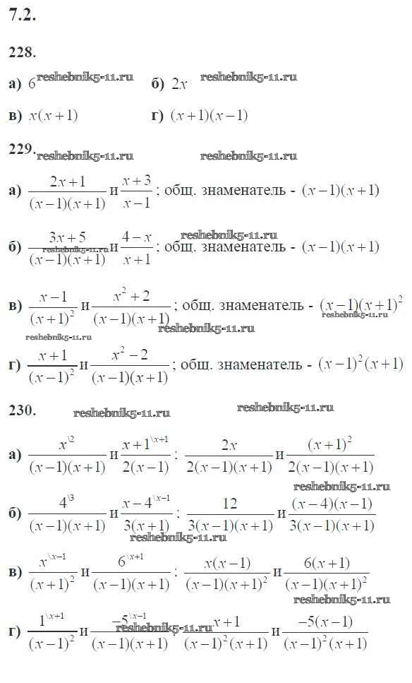
Алгебра за 7 класс Потапов Рабочая тетрадь МГУ - школе Просвещение часть 2. страница 7
Решебник / часть 2. страница / 7

Часть 1. Страницы
Часть 2. Страницы
Готовая домашняя работа с ответами по Алгебре за 7 класс Потапов, Шевкин Рабочая тетрадь МГУ - школе Часть 1, 2 Просвещение 2018 ФГОС - Часть 2. Страницы 7