Алгебра за 7 класс Александрова Самостоятельные работы УМК Мнемозина ср-30. вариант 4
Решебник 1 / ср-30. вариант / 4

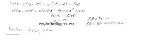
Решебник 2 / ср-30. вариант / 4


СР-1. Варианты
СР-2. Варианты
СР-3. Варианты
СР-4. Варианты
СР-5. Варианты
СР-6. Варианты
СР-7. Варианты
СР-8. Варианты
СР-9. Варианты
СР-10. Варианты
СР-11. Варианты
СР-12. Варианты
СР-13. Варианты
СР-14. Варианты
СР-15. Варианты
СР-16. Варианты
СР-17. Варианты
СР-18. Варианты
СР-19. Варианты
СР-20. Варианты
СР-21. Варианты
СР-22. Варианты
СР-23. Варианты
СР-24. Варианты
СР-25. Варианты
СР-26. Варианты
СР-27. Варианты
СР-28. Варианты
СР-29. Варианты
СР-30. Варианты
СР-31. Варианты
СР-32. Варианты
СР-33. Варианты
СР-34. Варианты
СР-35. Варианты
СР-36. Варианты
СР-37. Варианты
СР-38. Варианты
СР-39. Варианты
СР-40. Варианты
СР-41. Варианты
СР-42. Варианты
СР-43. Варианты
СР-44. Варианты
Готовая домашняя работа с ответами по Алгебре за 7 класс Александрова Самостоятельные работы УМК Мнемозина 2016 ФГОС - СР-30. Варианты 4