Алгебра за 7 класс Кузнецова Контрольные работы Просвещение контрольная работа-6 Вариант 2
Решебник 1 / контрольная работа-6 / вариант 2

Решебник 2 / контрольная работа-6 / вариант 2

Решебник 3 / контрольная работа-6 / вариант 2

Контрольная работа №1. Дроби и проценты
Контрольная работа №2. Прямая и обратная пропорциональность
Контрольная работа №3. Введение в алгебру
Контрольная работа №4. Уравнения
Контрольная работа №5. Координаты и графики
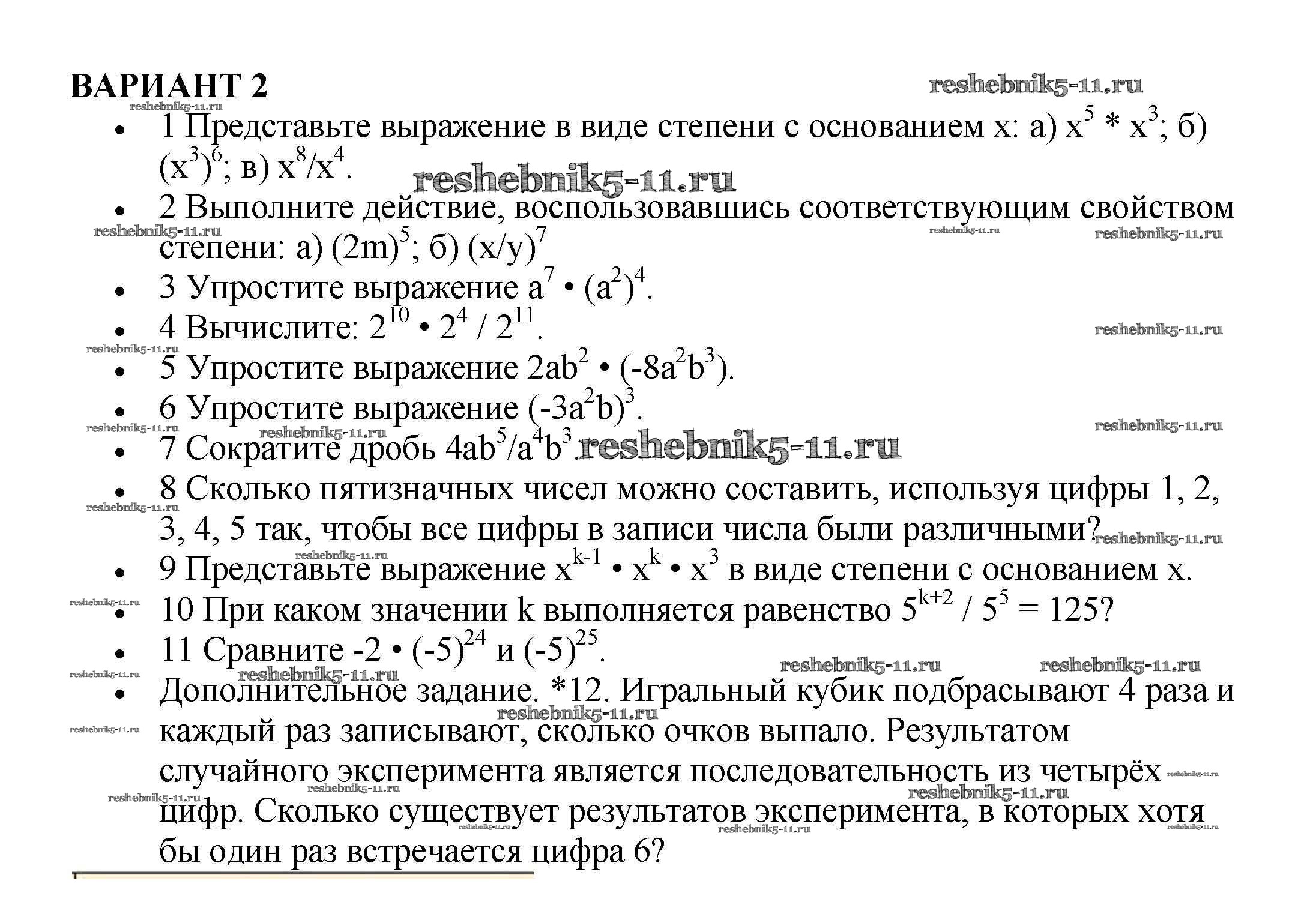
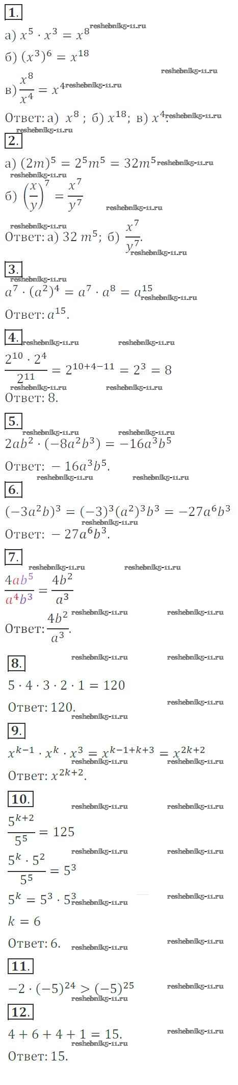
Контрольная работа №6. Свойства степени с натуральным показателем
Контрольная работа №7. Многочлены
Контрольная работа №8. Разложение многочленов на множители
Контрольная работа №9. Частота и вероятность
Контрольная работа №10. Итоговая работа за I полугодие
Контрольная работа №11. Итоговая контрольная за курс 7 класса
Готовая домашняя работа с ответами по Алгебре за 7 класс Кузнецова, Минаева, Рослова, Суворова Контрольные работы Просвещение 2018 ФГОС - Контрольная работа №6. Свойства степени с натуральным показателем Вариант 2