Алгебра за 7 класс Зив Дидактические материалы Виктория плюс ср-7 3
Решебник / самостоятельная работа. вариант / ср-7 / 3

Самостоятельные работы. Варианты
СР-1
СР-2
СР-3
СР-4
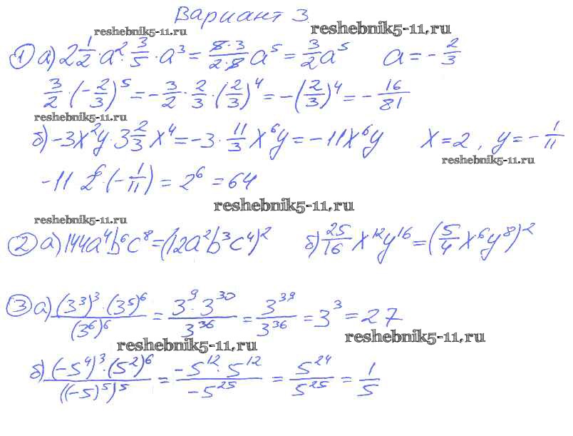
СР-5
СР-6
СР-7
СР-8
СР-9
СР-10
СР-11
СР-12
СР-13
СР-14
СР-15
СР-16
СР-17
СР-18
СР-19
СР-20
СР-21
СР-22
Контрольные работы. Варианты
КР-1
КР-2
КР-3
КР-4
КР-5
КР-6
КР-7
КР-8
Готовая домашняя работа с ответами по Алгебре за 7 класс Зив, Гольдич Дидактические материалы Виктория плюс 2013 ФГОС - СР-7 3