Алгебра за 7 класс Попов Дидактические материалы УМК Экзамен ср-9 1

Решебник / самостоятельная работа. вариант / ср-9 / 1

Самостоятельные работы. Варианты

СР-1

СР-2

СР-3

СР-4

СР-5

СР-6

СР-7

СР-8

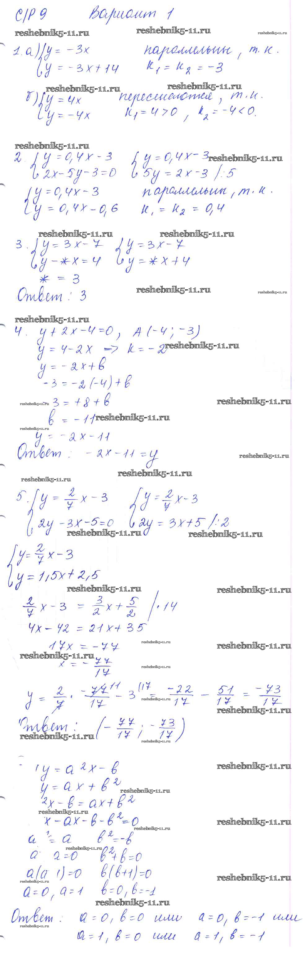
СР-9

СР-10

СР-11

СР-12

СР-13

СР-14

СР-15

СР-16

СР-17

СР-18

СР-19

СР-20

СР-21

СР-22

СР-23

СР-24

СР-25

СР-26

СР-27

СР-28

СР-29

СР-30

СР-31

СР-32

СР-33

СР-34

СР-35

СР-36

СР-37

СР-38

Контрольные работы. Варианты

КР-1

КР-2

КР-3

КР-4

КР-5

КР-6

КР-7

КР-8

КР-9

Олимпиадные задания

Готовая домашняя работа с ответами по Алгебре за 7 класс Попов Дидактические материалы УМК Экзамен 2016 ФГОС - СР-9 1