Алгебра за 7 класс Евстафьева Дидактические материалы Просвещение о-36 5
Решебник №2 / обучающая работа / о-36 / 5

Обучающие работы
О-1
О-2
О-3
О-4
О-5
О-6
О-7
О-8
О-9
О-10
О-11
О-12
О-13
О-14
О-15
О-16
О-17
О-18
О-19
О-20
О-21
О-22
О-23
О-24
О-25
О-26
О-27
О-28
О-29
О-30
О-31
О-32
О-33
О-34
О-35
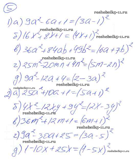
О-36
О-37
Проверочные работы
ПР-1
ПР-2
ПР-3
ПР-4
ПР-5
ПР-6
ПР-7
ПР-8
ПР-9
ПР-10
ПР-11
ПР-12
ПР-13
ПР-14
ПР-15
ПР-16
ПР-17
ПР-18
ПР-19
ПР-20
ПР-21
ПР-22
ПР-23
ПР-24
ПР-25
ПР-26
ПР-27
ПР-28
ПР-29
ПР-30
ПР-31
ПР-32
ПР-33
ПР-34
ПР-35
ПР-36
ПР-37
ПР-38
ПР-39
ПР-40
ПР-41
ПР-42
ПР-43
ПР-44
ПР-45
ПР-46
ПР-47
ПР-48
ПР-49
ПР-50
ПР-51
ПР-52
ПР-53
ПР-54
ПР-55
ПР-56
ПР-57
ПР-58
ПР-59
ПР-60
ПР-61
ПР-62
ПР-63
ПР-64
ПР-65
ПР-66
ПР-67
Готовая домашняя работа с ответами по Алгебре за 7 класс Евстафьева, Карп Дидактические материалы Просвещение 2018 ФГОС - О-36 5