Алгебра за 7 класс Феоктистов Дидактические материалы Углубленный уровень Мнемозина ср-5 Вариант 3
Решебник / самостоятельная работа. / ср-5 / вариант 3

Самостоятельные работы.
СР-1
СР-2
СР-3
СР-4
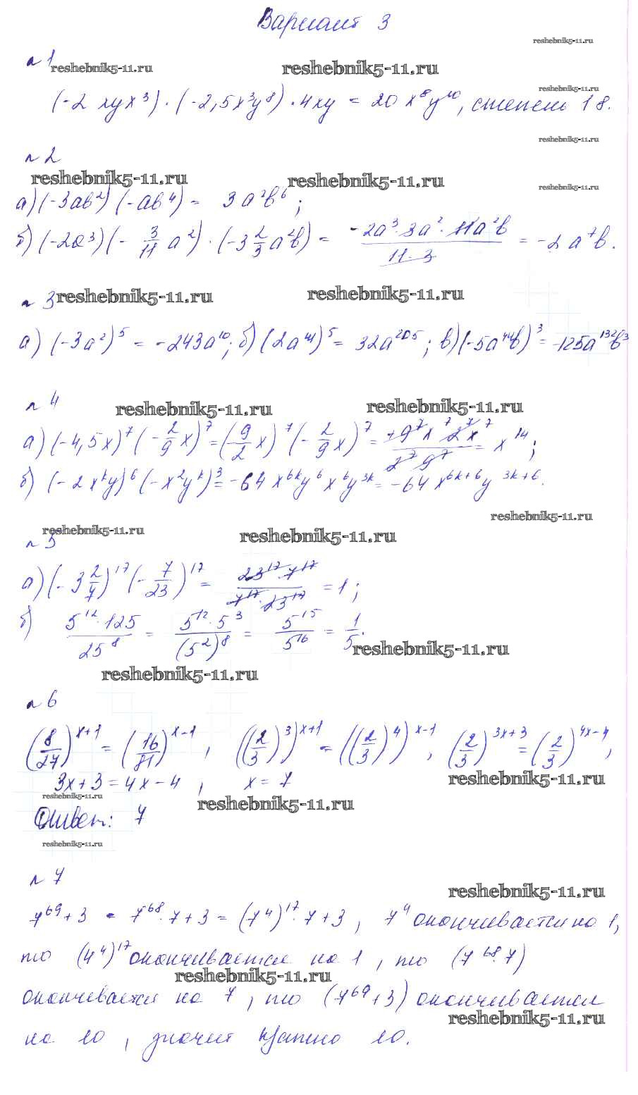
СР-5
СР-6
СР-7
СР-8
СР-9
СР-10
СР-11
СР-12
СР-13
СР-14
СР-15
СР-16
СР-17
СР-18
СР-19
СР-20
СР-21
СР-22
СР-23
СР-24
СР-25
Контрольные работы.
КР-1
КР-2
КР-3
КР-4
КР-5
КР-6
КР-7
КР-8
Итоговая контрольная работа
Готовая домашняя работа с ответами по Алгебре за 7 класс Феоктистов Дидактические материалы Углубленный уровень Мнемозина 2016 ФГОС - СР-5 Вариант 3