Алгебра за 7 класс Ершова Самостоятельные и контрольные работы Илекса ср-8 вариант Б-2
Решебник / алгебра / самостоятельные работы / ср-8 / вариант Б-2

Алгебра
Контрольные работы
КР-1. Выражения, тождества, уравнения Функции
КР-2. Линейная функция
КР-3. Степень с натуральным показателем
Дополнительное задание
КР-4. Многочлен
КР-5. Умножение многочленов. Способ группировки
КР-6. Формулы сокращенного умножения
КР-7. Системы линейных уравнений с двумя переменными
КР-8. Годовая контрольная работа
Самостоятельные работы
СР-1. Тождественные преобразования выражений
СР-2. Решение уравнений
СР-4. Функции и их графики
СР-5. Линейная функция. Прямая пропорциональность
СР-7. Степень и ее свойства
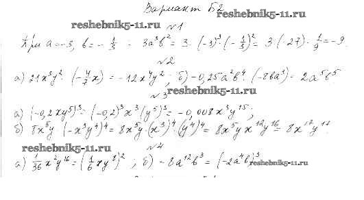
СР-8. Одночлен
Дополнительные задания
СР-9. Абсолютная и относительная погрешности
СР-10. Многочлен. Сложение и вычитание многочленов
СР-11. Умножение многочлена на одночлен. Вынесение общего множителя за скобки
СР-12. Умножение многочленов. Способ группировки
СР-13. Квадрат суммы и квадрат разности
СР-14. Разность квадратов. Сумма и разность кубов
СР-15. Преобразование целого выражения в многочлен
СР-16. Все действия с многочленами
СР-17. Уравнения и системы. Уравнения с двумя переменными
СР-18. Системы линейных уравнений. Способ сложения
Геометрия
К уч. Атанасяна
Контрольные работы
КР-1. Начальные геометрические сведения
КР-2. Треугольники
КА-2.
КР-3. Параллельные прямые
КР-4. Соотношения между сторонами и углами треугольника
КР-5. Годовая контрольная работа
Самостоятельные работы
СР-1. Прямая и отрезок
СР-2. Сравнение и измерение отрезков
СР-3. Сравнение и измерение углов
СР-4. Смежные и вертикальные углы
СА-4.
СА-5.
СР-6. Треугольник
СА-6.
СР-7. Медиана, биссектриса и высота треугольника
СА-7.
СР-8. Второй и третий признаки равенства треугольников
СР-9. Окружность
СР-10. Признаки параллельных прямых
СР-11. Свойства параллельных прямых
СР-12. Сумма углов треугольника
СР-13. Соотношения между сторонами углами треугольника
СР-14. Прямоугольные треугольники
К уч. Погорелова
Контрольные работы
КП-1. Основные свойства простейших геометрических фигур
КР-2. Первый и второй признаки равенства треугольников
КР-3. Три признака равенства треугольников
КР-4. Параллельные прямые
КР-5. Годовая контрольная работа
Самостоятельные работы
СП-1. Измерение отрезков
СП-2. Измерение углов
СП-3. Смежные и вертикальные углы
СР-5. Первый и второй признаки равенства треугольников
СР-6. Равнобедренный треугольник
СР-7. Третий признак равенства треугольника
СР-8. Параллельные прямые
СР-9. Сумма углов треугольника
СР-10.
СР-12. Окружность
Готовая домашняя работа с ответами по Алгебре за 7 класс Ершова, Голобородько Самостоятельные и контрольные работы Илекса 2015 ФГОС - СР-8. Одночлен вариант Б-2