Алгебра за 7 класс Попов Контрольные и самостоятельные работы УМК Экзамен ср-38 1
Решебник / самостоятельная работа. вариант / ср-38 / 1

Самостоятельные работы. Варианты
СР-1
СР-2
СР-3
СР-4
СР-5
СР-6
СР-7
СР-8
СР-9
СР-10
СР-11
СР-12
СР-13
СР-14
СР-15
СР-16
СР-17
СР-18
СР-19
СР-20
СР-21
СР-22
СР-23
СР-24
СР-25
СР-26
СР-27
СР-28
СР-29
СР-30
СР-31
СР-32
СР-33
СР-34
СР-35
СР-36
СР-37
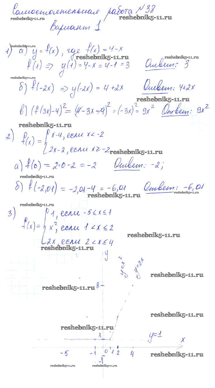
СР-38
Контрольные работы. Варианты
КР-1
КР-2
КР-3
КР-4
КР-5
КР-6
КР-7
КР-8
Готовая домашняя работа с ответами по Алгебре за 7 класс Попов Контрольные и самостоятельные работы УМК Экзамен 2017 ФГОС - СР-38 1