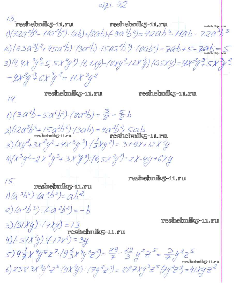
Алгебра за 7 класс Колягин Рабочая тетрадь УМК Просвещение часть 1 72
Решебник / часть 1 / 72

Часть 1
Часть 2
Готовая домашняя работа с ответами по Алгебре за 7 класс Колягин, Ткачева, Федорова, Шабунин Рабочая тетрадь УМК Часть 1, 2 Просвещение 2017 ФГОС - Часть 1 72