Алгебра за 7 класс Потапов Дидактические материалы МГУ - школе Просвещение ср-11. вариант 3
Решебник / самостоятельная работа / ср-11. вариант / 3

Cамостоятельные работы
СР-1. Варианты
СР-2. Варианты
СР-3. Варианты
СР-4. Варианты
СР-5. Варианты
СР-6. Варианты
СР-7. Варианты
СР-8. Варианты
СР-9. Варианты
СР-10. Варианты
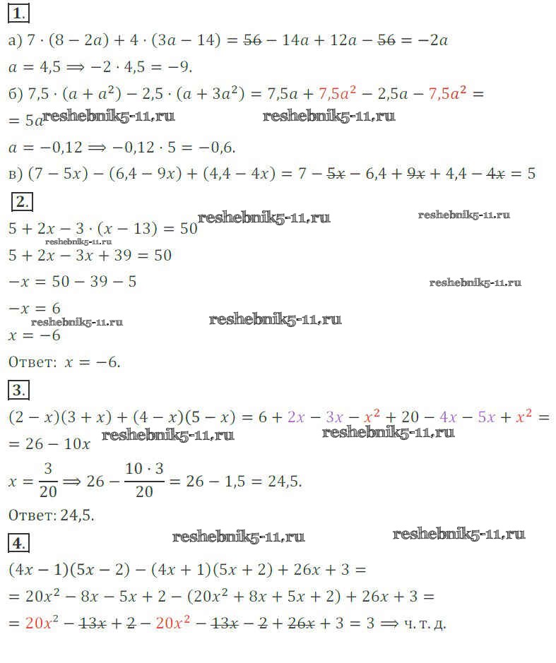
СР-11. Варианты
СР-12. Варианты
СР-13. Варианты
СР-14. Варианты
СР-15. Варианты
СР-16. Варианты
СР-17. Варианты
СР-18. Варианты
СР-19. Варианты
СР-20. Варианты
СР-21. Варианты
СР-22. Варианты
СР-23. Варианты
СР-24. Варианты
СР-25. Варианты
СР-26. Варианты
СР-27. Варианты
Контрольные работы
КР-1. Варианты
КР-2. Варианты
КР-3. Варианты
КР-4. Варианты
КР-5. Варианты
КР-6. Варианты
КР-7. Варианты
Готовая домашняя работа с ответами по Алгебре за 7 класс Потапов, Шевкин Дидактические материалы МГУ - школе Просвещение 2017 ФГОС - СР-11. Варианты 3