Алгебра за 7 класс Мордкович Учебник Просвещение §10 10.2
Решебник / §10 / 10.2

§1. Числовые и алгебраические выражения
§2. Понятие о математическом языке
§3. Свойства степеней с натуральными показателями
§4. Понятие о математических моделях
§5. Линейные уравнения с одной переменной
§6. Координатная прямая
§7. Числовые промежутки на координатной прямой
§8. Координатная плоскость. Координаты точки на плоскости
§9. Координатная плоскость. Построение точки на плоскости по заданным координатам
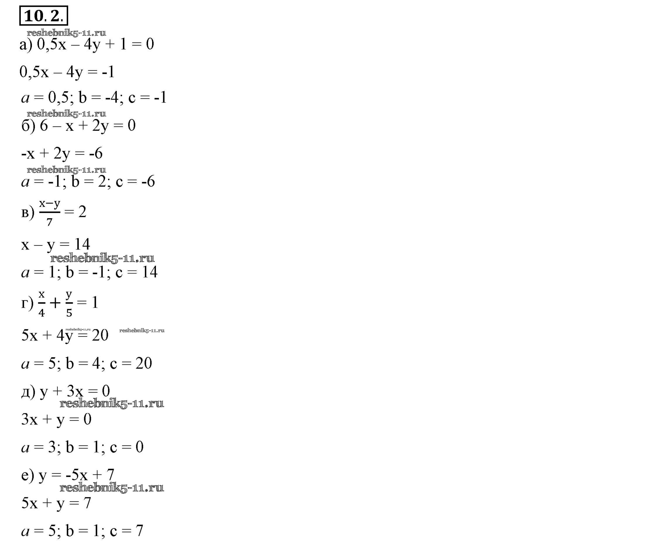
§10. Линейные уравнения с двумя переменными
§11. График линейного уравнения с двумя переменными
Готовая домашняя работа с ответами по Алгебре за 7 класс Мордкович, Семёнов, Александрова, Мардахаева Учебник Просвещение 2018 ФГОС - §10. Линейные уравнения с двумя переменными 10.2