Алгебра за 7 класс Арефьева Учебник Народная асвета глава 2 2.230
Решебник / глава 2 / 2.230

Глава 1
1.1
1.2
1.3
1.4
1.5
1.6
1.7
1.8
1.9
1.10
1.11
1.12
1.13
1.14
1.15
1.16
1.17
1.18
1.19
1.20
1.21
1.22
1.23
1.24
1.25
1.26
1.27
1.28
1.29
1.30
1.31
1.32
1.33
1.34
1.35
1.36
1.37
1.38
1.39
1.40
1.41
1.42
1.43
1.44
1.45
1.46
1.47
1.48
1.49
1.50
1.51
1.52
1.53
1.54
1.55
1.56
1.57
1.58
1.59
1.60
1.61
1.62
1.63
1.64
1.65
1.66
1.67
1.68
1.69
1.70
1.71
1.72
1.73
1.74
1.75
1.76
1.77
1.78
1.79
1.80
1.81
1.82
1.83
1.84
1.85
1.86
1.87
1.88
1.89
1.90
1.91
1.92
1.93
1.94
1.95
1.96
1.97
1.98
1.99
1.100
1.101
1.102
1.103
1.104
1.105
1.106
1.107
1.108
1.109
1.110
1.111
1.112
1.113
1.114
1.115
1.116
1.117
1.118
1.119
1.120
1.121
1.122
1.123
1.124
1.125
1.126
1.127
1.128
1.129
1.130
1.131
1.132
1.133
1.134
1.135
1.136
1.137
1.138
1.139
1.140
1.141
1.142
1.143
1.144
1.145
1.146
1.147
1.148
1.149
1.150
1.151
1.152
1.153
1.154
1.155
1.156
1.157
1.158
1.159
1.160
1.161
1.162
1.163
1.164
1.165
1.166
1.167
1.168
1.169
1.170
1.171
1.172
1.173
1.174
1.175
1.176
1.177
1.178
1.179
1.180
1.181
1.182
1.183
1.184
1.185
1.186
1.187
1.188
1.189
1.190
1.191
1.192
1.193
1.194
1.195
1.196
1.197
1.198
1.199
1.200
1.201
1.202
1.203
1.204
1.205
1.206
Глава 2
2.1
2.2
2.3
2.4
2.5
2.6
2.7
2.8
2.9
2.10
2.11
2.12
2.13
2.14
2.15
2.16
2.17
2.18
2.19
2.20
2.21
2.22
2.23
2.24
2.25
2.26
2.27
2.28
2.29
2.30
2.31
2.32
2.33
2.34
2.35
2.36
2.37
2.38
2.39
2.40
2.41
2.42
2.43
2.44
2.45
2.46
2.47
2.48
2.49
2.50
2.51
2.52
2.53
2.54
2.55
2.56
2.57
2.58
2.59
2.60
2.61
2.62
2.63
2.64
2.65
2.66
2.67
2.68
2.69
2.70
2.71
2.72
2.73
2.74
2.75
2.76
2.77
2.78
2.79
2.80
2.81
2.82
2.83
2.84
2.85
2.86
2.87
2.88
2.89
2.90
2.91
2.92
2.93
2.94
2.95
2.96
2.97
2.98
2.99
2.100
2.101
2.102
2.103
2.104
2.105
2.106
2.107
2.108
2.109
2.110
2.111
2.112
2.113
2.114
2.115
2.116
2.117
2.118
2.119
2.120
2.121
2.122
2.123
2.124
2.125
2.126
2.127
2.128
2.129
2.130
2.131
2.132
2.133
2.134
2.135
2.136
2.137
2.138
2.139
2.140
2.141
2.142
2.143
2.144
2.145
2.146
2.147
2.148
2.149
2.150
2.151
2.152
2.153
2.154
2.155
2.156
2.157
2.158
2.159
2.160
2.161
2.162
2.163
2.164
2.165
2.166
2.167
2.168
2.169
2.170
2.171
2.172
2.173
2.174
2.175
2.176
2.177
2.178
2.179
2.180
2.181
2.182
2.183
2.184
2.185
2.186
2.187
2.188
2.189
2.190
2.191
2.192
2.193
2.194
2.195
2.196
2.197
2.198
2.199
2.200
2.201
2.202
2.203
2.204
2.205
2.206
2.207
2.208
2.209
2.210
2.211
2.212
2.213
2.214
2.215
2.216
2.217
2.218
2.219
2.220
2.221
2.222
2.223
2.224
2.225
2.226
2.227
2.228
2.229
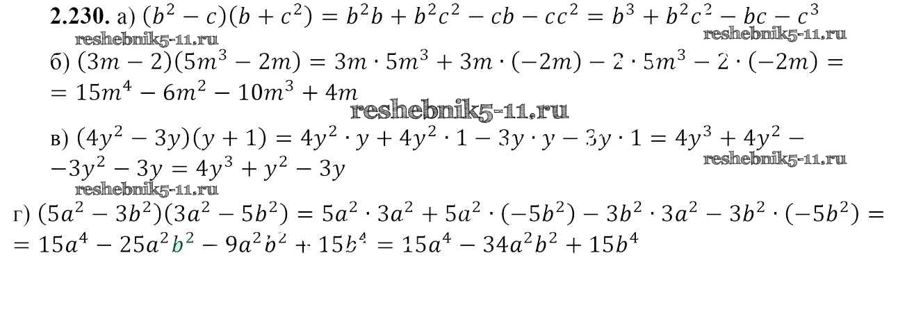
2.230
2.231
2.232
2.233
2.234
2.235
2.236
2.237
2.238
2.239
2.240
2.241
2.242
2.243
2.244
2.245
2.246
2.247
2.248
2.249
2.250
2.251
2.252
2.253
2.254
2.255
2.256
2.257
2.258
2.259
2.260
2.261
2.262
2.263
2.264
2.265
2.266
2.267
2.268
2.269
2.270
2.271
2.272
2.273
2.274
2.275
2.276
2.277
2.278
2.279
2.280
2.281
2.282
2.283
2.284
2.285
2.286
2.287
2.288
2.289
2.290
2.291
2.292
2.293
2.294
2.295
2.296
2.297
2.298
2.299
2.300
2.301
2.302
2.303
2.304
2.305
2.306
2.307
2.308
2.309
2.310
2.311
2.312
2.313
2.314
2.315
2.316
2.317
2.318
2.319
2.320
2.321
2.322
2.323
2.324
2.325
2.326
2.327
2.328
2.329
2.330
2.331
2.332
2.333
2.334
2.335
2.336
2.337
2.338
2.339
2.340
2.341
2.342
2.343
2.344
2.345
2.346
2.347
2.348
2.349
2.350
2.351
2.352
2.353
2.354
2.355
2.356
2.357
2.358
2.359
2.360
2.361
2.362
2.363
2.364
2.365
2.366
2.367
2.368
2.369
2.370
2.371
2.372
2.373
2.374
2.375
2.376
2.377
2.378
2.379
2.380
2.381
2.382
2.383
2.384
2.385
2.386
2.387
2.388
2.389
2.390
2.391
2.392
2.393
2.394
2.395
2.396
2.397
2.398
2.399
2.400
2.401
2.402
2.403
2.404
2.405
2.406
2.407
2.408
2.409
2.410
2.411
2.412
2.413
2.414
2.415
2.416
2.417
2.418
2.419
2.420
2.421
2.422
2.423
2.424
2.425
2.426
2.427
2.428
2.429
2.430
2.431
2.432
2.433
2.434
2.435
2.436
2.437
2.438
2.439
2.440
2.441
2.442
2.443
2.444
2.445
2.446
2.447
2.448
2.449
Проверяю знания
Глава 3
3.1
3.2
3.3
3.4
3.5
3.6
3.7
3.8
3.9
3.10
3.11
3.12
3.13
3.14
3.15
3.16
3.17
3.18
3.19
3.20
3.21
3.22
3.23
3.24
3.25
3.26
3.27
3.28
3.29
3.30
3.31
3.32
3.33
3.34
3.35
3.36
3.37
3.38
3.39
3.40
3.41
3.42
3.43
3.44
3.45
3.46
3.47
3.48
3.49
3.50
3.51
3.52
3.53
3.54
3.55
3.56
3.57
3.58
3.59
3.60
3.61
3.62
3.63
3.64
3.65
3.66
3.67
3.68
3.69
3.70
3.71
3.72
3.73
3.74
3.75
3.76
3.77
3.78
3.79
3.80
3.81
3.82
3.83
3.84
3.85
3.86
3.87
3.88
3.89
3.90
3.91
3.92
3.93
3.94
3.95
3.96
3.97
3.98
3.99
3.100
3.101
3.102
3.103
3.104
3.105
3.106
3.107
3.108
3.109
3.110
3.111
3.112
3.113
3.114
3.115
3.116
3.117
3.118
3.119
3.120
3.121
3.122
3.123
3.124
3.125
3.126
3.127
3.128
3.129
3.130
3.131
3.132
3.133
3.134
3.135
3.136
3.137
3.138
3.139
3.140
3.141
3.142
3.143
3.144
3.145
3.146
3.147
3.148
3.149
3.150
3.151
3.152
3.153
3.154
3.155
3.156
3.157
3.158
3.159
3.160
3.161
3.162
3.163
3.164
3.165
3.166
3.167
3.168
3.169
3.170
3.171
3.172
3.173
3.174
3.175
3.176
3.177
3.178
3.179
3.180
3.181
3.182
3.183
3.184
3.185
3.186
3.187
3.188
3.189
3.190
3.191
3.192
3.193
3.194
3.195
3.196
3.197
3.198
3.199
3.200
3.201
3.202
3.203
3.204
3.205
3.206
3.207
3.208
3.209
3.210
3.211
3.212
3.213
3.214
3.215
3.216
3.217
3.218
3.219
3.220
3.221
3.222
3.223
3.224
3.225
3.226
3.227
3.228
3.229
3.230
3.231
3.232
3.233
3.234
3.235
3.236
3.237
3.238
3.239
3.240
3.241
3.242
3.243
3.244
3.245
3.246
3.247
3.248
3.249
3.250
3.251
3.252
3.253
3.254
3.255
3.256
3.257
3.258
3.259
3.260
3.261
3.262
3.263
3.264
3.265
3.266
3.267
3.268
3.269
3.270
3.271
3.272
3.273
3.274
3.275
3.276
3.277
3.278
3.279
3.280
3.281
3.282
3.283
3.284
3.285
3.286
3.287
3.288
3.289
3.290
3.291
3.292
3.293
3.294
3.295
3.296
3.297
3.298
3.299
3.300
3.301
3.302
3.303
3.304
3.305
3.306
3.307
3.308
3.309
3.310
3.311
3.312
3.313
3.314
3.315
3.316
3.317
3.318
3.319
3.320
3.321
3.322
3.323
3.324
3.325
3.326
3.327
3.328
3.329
3.330
3.331
3.332
3.333
3.334
3.335
3.336
3.337
3.338
3.339
3.340
3.341
3.342
3.343
3.344
3.345
3.346
3.347
3.348
3.349
3.350
3.351
3.352
3.353
3.354
3.355
3.356
3.357
3.358
3.359
3.360
3.361
3.362
3.363
3.364
3.365
3.366
3.367
3.368
3.369
3.370
3.371
3.372
3.373
3.374
3.375
3.376
3.377
3.378
3.379
3.380
3.381
3.382
3.383
3.384
3.385
3.386
3.387
3.388
3.389
3.390
3.391
3.392
3.393
3.394
3.395
3.396
Глава 4
4.1
4.2
4.3
4.4
4.5
4.6
4.7
4.8
4.9
4.10
4.11
4.12
4.13
4.14
4.15
4.16
4.17
4.18
4.19
4.20
4.21
4.22
4.23
4.24
4.25
4.26
4.27
4.28
4.29
4.30
4.31
4.32
4.33
4.34
4.35
4.36
4.37
4.38
4.39
4.40
4.41
4.42
4.43
4.44
4.45
4.46
4.47
4.48
4.49
4.50
4.51
4.52
4.53
4.54
4.55
4.56
4.57
4.58
4.59
4.60
4.61
4.62
4.63
4.64
4.65
4.66
4.67
4.68
4.69
4.70
4.71
4.72
4.73
4.74
4.75
4.76
4.77
4.78
4.79
4.80
4.81
4.82
4.83
4.84
4.85
4.86
4.87
4.88
4.89
4.90
4.91
4.92
4.93
4.94
4.95
4.96
4.97
4.98
4.99
4.100
4.101
4.102
4.103
4.104
4.105
4.106
4.107
4.108
4.109
4.110
4.111
4.112
4.113
4.114
4.115
4.116
4.117
4.118
4.119
4.120
4.121
4.122
4.123
4.124
4.125
4.126
4.127
4.128
4.129
4.130
4.131
4.132
4.133
4.134
4.135
4.136
4.137
4.138
4.139
4.140
4.141
4.142
4.143
4.144
4.145
4.146
4.147
4.148
4.149
4.150
4.151
4.152
4.153
4.154
4.155
4.156
4.157
4.158
4.159
4.160
4.161
4.162
4.163
4.164
4.165
4.166
4.167
4.168
4.169
4.170
4.171
4.172
4.173
4.174
4.175
4.176
4.177
4.178
4.179
4.180
4.181
Готовая домашняя работа с ответами по Алгебре за 7 класс Арефьева, Пирютко Учебник Народная асвета 2017 - Глава 2 2.230