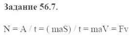
Физика за 7 класс Ханнанова Рабочая тетрадь Вертикаль Дрофа задание 56 7
Решебник №1 / задание 56 / 7

Решебник №2 / задание 56 / 7

Решебник №3 / задание 56 / 7

Задание 1
Задание 2
Задание 3
Задание 4
Задание 5
Задание 6
Задание 7
Задание 8
Задание 9
Задание 10
Задание 11
Задание 12
Задание 13
Задание 14
Задание 15
Задание 16
Задание 17
Задание 18
Задание 19
Задание 20
Задание 21
Задание 22
Задание 23
Задание 24
Задание 25
Задание 26
Задание 27
Задание 28
Задание 29
Задание 30
Задание 31
Задание 32
Задание 33
Задание 34
Задание 35
Задание 36
Задание 37
Задание 38
Задание 39
Задание 40
Задание 41
Задание 42
Задание 43
Задание 44
Задание 45
Задание 46
Задание 47
Задание 48
Задание 49
Задание 50
Задание 51
Задание 52
Задание 53
Задание 54
Задание 55
Задание 56
Задание 57
Задание 58
Задание 59
Задание 60
Задание 61
Задание 62
Задание 63
Задание 64
Задание 65
Задание 66
Задание 67
Задание 68
Тесты
Тренировочный тест 1 "Строение вещества"
Тренировочный тест 2 "Характеристики движения. Скорость"
Тренировочный тест 3 "Масса и плотность"
Тренировочный тест 4 "Силы"
Тренировочный тест 5 "Давление твердого тела"
Тренировочный тест 6 "Давление газов и жидкостей"
Тренировочный тест 7 "Закон Архимеда"
Тренировочный тест 8 "Работа, мощность, энергия. Простые механизмы"
Итоговый тест
Готовая домашняя работа с ответами по Физике за 7 класс Ханнанова, Ханнанов Рабочая тетрадь Вертикаль Дрофа 2016 ФГОС - Задание 56 7