География за 7 класс Баринова Рабочая тетрадь УМК Экзамен страница 8
Решебник / страница / 8

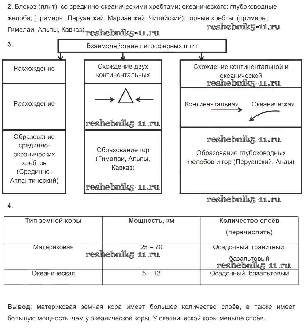
Готовая домашняя работа с ответами по Географии за 7 класс Баринова, Суслов Рабочая тетрадь УМК Экзамен 2010 ФГОС - Страницы 8
Готовая домашняя работа с ответами по Географии за 7 класс Баринова, Суслов Рабочая тетрадь УМК Экзамен 2010 ФГОС - Страницы 8