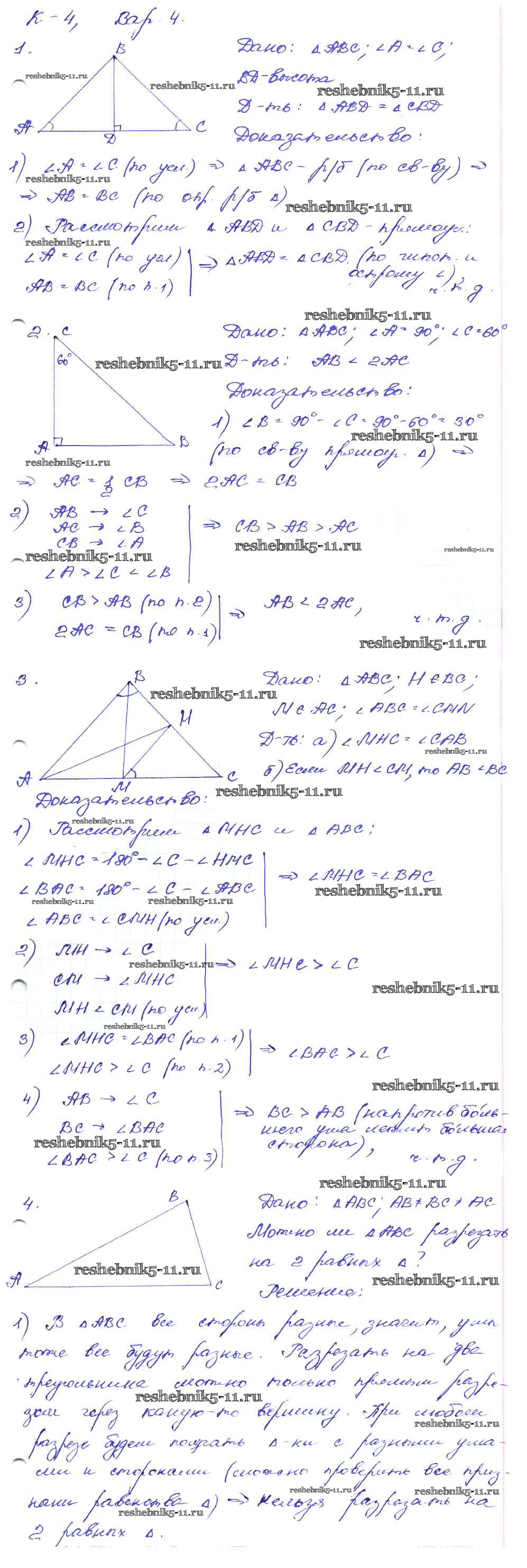
Геометрия за 7 класс Зив Дидактические материалы Просвещение кр-4. вариант 4
Решебник / контрольная работа / кр-4. вариант / 4

Самостоятельные работы
СР-1. Варианты
СР-2. Варианты
СР-3. Варианты
СР-4. Варианты
СР-5. Варианты
СР-6. Варианты
СР-7. Варианты
СР-8. Варианты
СР-9. Варианты
СР-10. Варианты
СР-11. Варианты
СР-13. Варианты
СР-14. Варианты
СР-15. Варианты
СР-16. Варианты
СР-17. Варианты
СР-18. Варианты
СР-19. Варианты
СР-20. Варианты
СР-21. Варианты
СР-22. Варианты
СР-26. Варианты
Контрольные работы
КР-1. Варианты
КР-2. Варианты
КР-3. Варианты
КР-4. Варианты
КР-5. Варианты
Математический диктант
МД-1. Варианты
МД-2. Варианты
МД-3. Варианты
МД-4. Варианты
Задачи
Готовая домашняя работа с ответами по Геометрии за 7 класс Зив, Мейлер Дидактические материалы Просвещение 2016 ФГОС - КР-4. Варианты 4