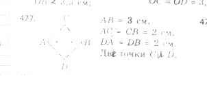
Геометрия за 7 класс Мерзляк Учебник Алгоритм успеха Вентана-граф §19 477
Решебник / глава 4 / §19 / 477

Глава 1. Простейшие геометрические фигуры и их свойства
§1. Точки и прямые
§2. Отрезок и его длина
§3. Луч. Угол. Измерение углов
§4. Смежные и вертикальные углы
§5. Перпендикулярные прямые
§6. Аксиомы
Глава 2. Треугольники
§7. Равные треугольники. Высота, медиана, биссектриса треугольника
§8. Первый и второй признак равенства треугольников
§9. Равнобедренный треугольник и его свойства
§10. Признаки равнобедренного треугольника
§11. Третий признак равенства треугольников
§12. Теоремы
Глава 3. Параллельные прямые. Сумма углов треугольника
§13. Параллельные прямые
§14. Признаки параллельности двух прямых
§15. Свойства параллельных прямых
§16. Сумма углов треугольника
§17. Прямоугольный треугольник
§18. Свойства прямоугольного треугольника
Глава 4. Окружность и круг. Геометрические построения
§19. Геометрическое место точек. Окружность и круг
§20. Некоторые свойства окружности. Касательная к окружности
§21. Описанная и вписанная окружности треугольника
§22. Задачи на построение
§23. Метод геометрических мест точек в задачах на построение
Готовая домашняя работа с ответами по Геометрии за 7 класс Мерзляк, Полонский, Якир Учебник Алгоритм успеха Вентана-граф 2017 ФГОС - §19. Геометрическое место точек. Окружность и круг 477