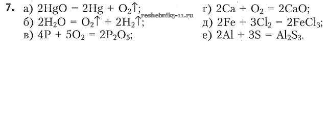
Химия за 7 класс Шиманович Учебник Народная асвета §14 7
Решебник / §14 / 7

§1
§4
§5
§6
§7
§8
§9
§10
§11
§12
§13
§14
§15
§16
§17
§18
§19
§20
§21
§22
§23
§24
§25
§26
§27
Практические работы
Лабораторные работы
Готовая домашняя работа с ответами по Химии за 7 класс Шиманович, Сечко Учебник Народная асвета 2017 - §14 7