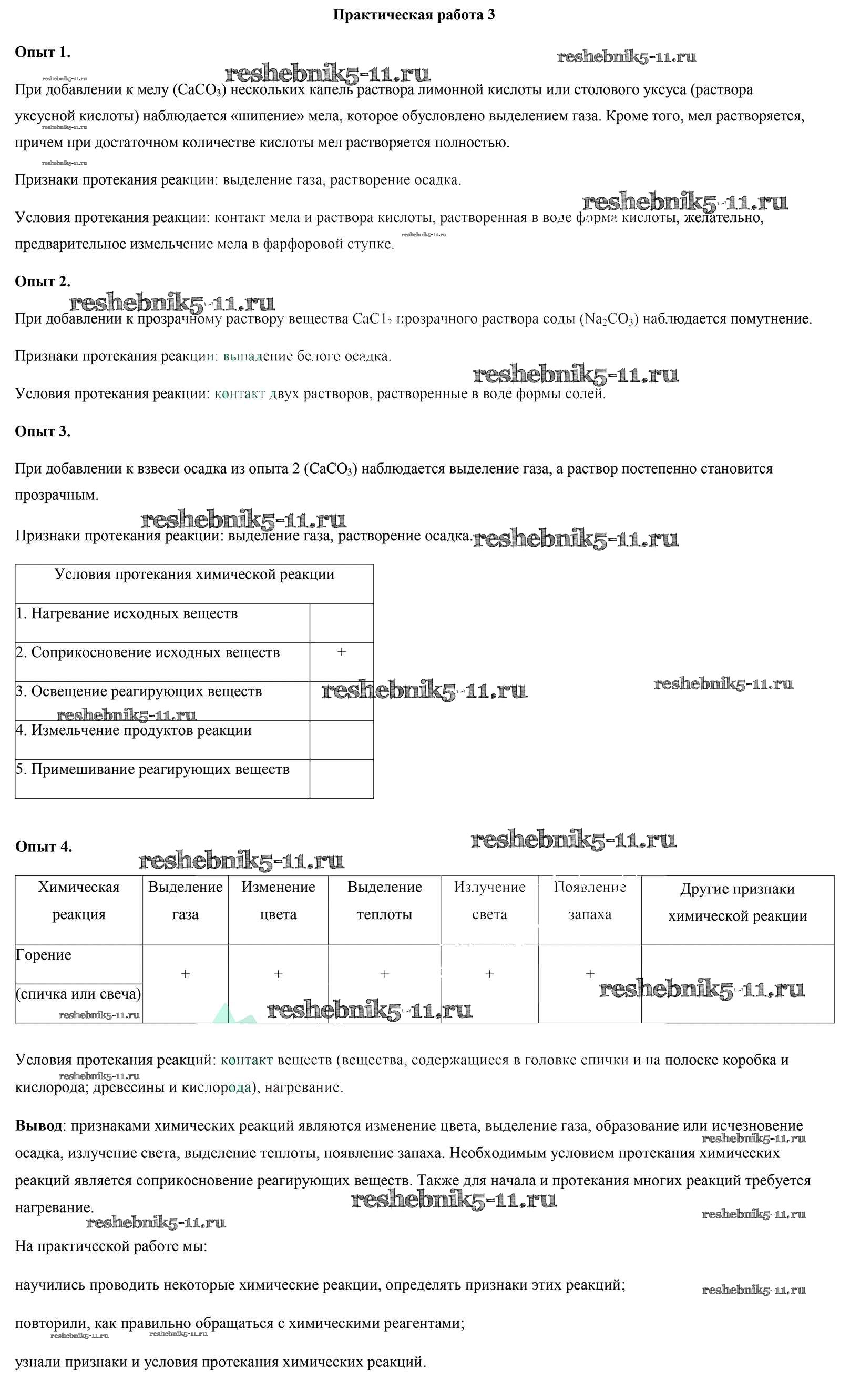
Химия за 7 класс Сечко Тетрадь для практических работ и лабораторных опытов Аверсэв практическая работа 3
Решебник / практическая работа / 3

Готовая домашняя работа с ответами по Химии за 7 класс Сечко Тетрадь для практических работ и лабораторных опытов Аверсэв 2017 - Практические работы 3