Музыка за 7 класс Калинина Рабочая тетрадь Калинин хроматическая гамма 7
Решебник / хроматическая гамма / 7

Родственные тональности
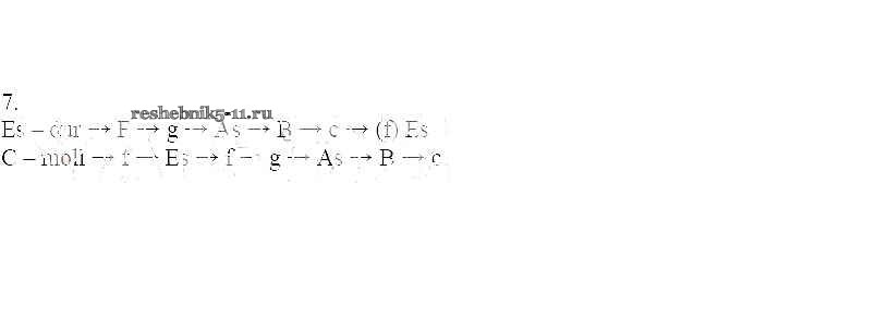
Хроматическая гамма
Лады народной музыки
Интервалы
Аккорды
Творческие задания
Музыкальные термины
Готовая домашняя работа с ответами по Музыке за 7 класс Калинина Рабочая тетрадь Калинин 2017 - Хроматическая гамма 7