Русский язык за 7 класс Ерохина Рабочая тетрадь УМК Экзамен страница 61
Решебник / страница / 61

Страницы
5
6
7
8
9
10
11
12
14
15
16
17
19
20
21
22
24
25
26
29
31
33
34
35
36
37
38
39
41
44
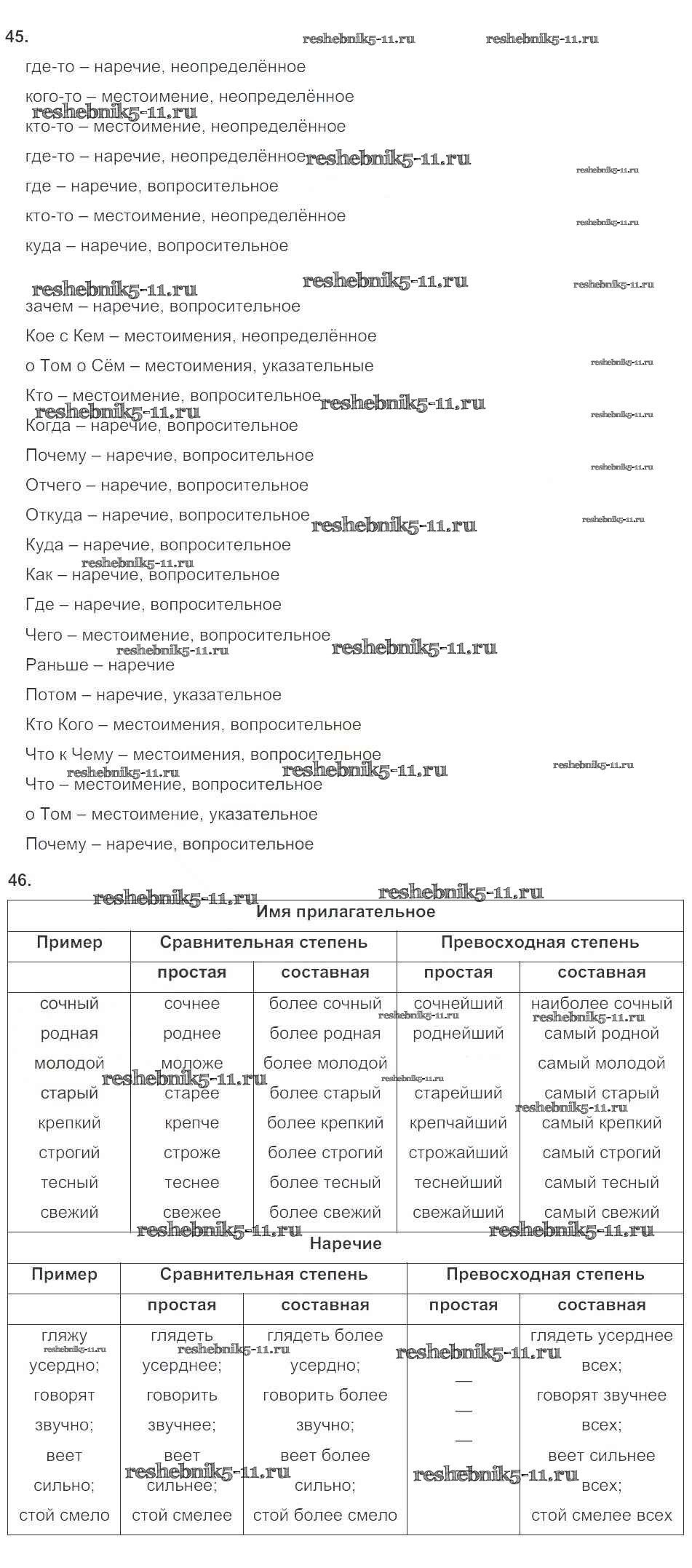
45
46
47
49
51
53
54
56
58
60
61
62
63
64
65
66
67
68
69
70
71
72
73
74
75
76
77
78
79
80
81
82
83
84
85
86
87
88
89
90
91
92
93
94
95
96
97
98
99
100
101
102
103
104
105
106
107
108
109
110
111
112
114
115
116
117
118
Готовая домашняя работа с ответами по Русскому языку за 7 класс Ерохина Рабочая тетрадь УМК Экзамен 2014 ФГОС - Страницы 61