Технология за 7 класс Синица Рабочая тетрадь Вентана-граф мой творческий проект 1
Решебник / мой творческий проект / 1

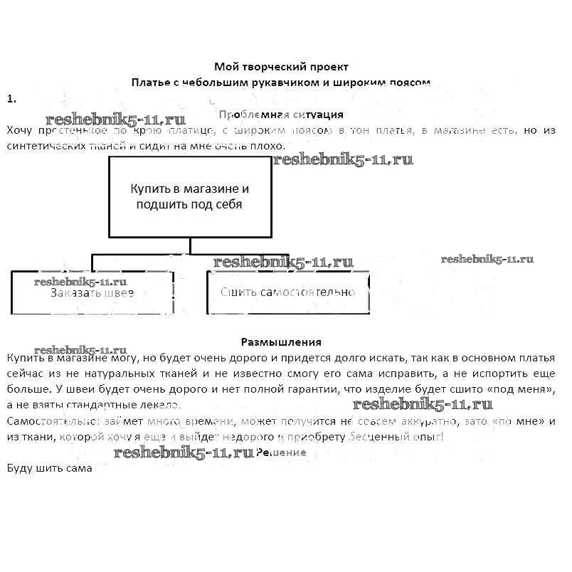
Готовая домашняя работа с ответами по Технологии за 7 класс Синица Рабочая тетрадь Вентана-граф 2014 - Мой творческий проект 1
Готовая домашняя работа с ответами по Технологии за 7 класс Синица Рабочая тетрадь Вентана-граф 2014 - Мой творческий проект 1