Алгебра за 8 класс Александрова Самостоятельные работы Мнемозина ср-43. вариант 2

Решебник 1 / ср-43. вариант / 2

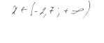
Решебник 2 / ср-43. вариант / 2

СР-1. Варианты

СР-2. Варианты

СР-3. Варианты

СР-4. Варианты

СР-5. Варианты

СР-6. Варианты

СР-7. Варианты

СР-8. Варианты

СР-9. Варианты

СР-10. Варианты

СР-11. Варианты

СР-12. Варианты

СР-13. Варианты

СР-14. Варианты

СР-15. Варианты

СР-16. Варианты

СР-17. Варианты

СР-18. Варианты

СР-19. Варианты

СР-20. Варианты

СР-21. Варианты

СР-22. Варианты

СР-23. Варианты

СР-24. Варианты

СР-25. Варианты

СР-26. Варианты

СР-27. Варианты

СР-28. Варианты

СР-29. Варианты

СР-30. Варианты

СР-31. Варианты

СР-32. Варианты

СР-33. Варианты

СР-34. Варианты

СР-35. Варианты

СР-36. Варианты

СР-37. Варианты

СР-38. Варианты

СР-39. Варианты

СР-40. Варианты

СР-41. Варианты

СР-42. Варианты

СР-43. Варианты

СР-44. Варианты

СР-45. Варианты

СР-46. Варианты

СР-47. Варианты

СР-48. Варианты

Готовая домашняя работа с ответами по Алгебре за 8 класс Александрова Самостоятельные работы Мнемозина 2016 ФГОС - СР-43. Варианты 2