Алгебра за 8 класс Ершова Самостоятельные и контрольные работы Илекса ср-20. вариант 4
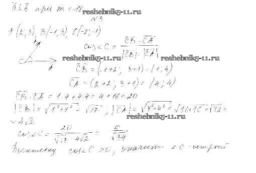
Решебник / геометрия / самостоятельная работа / к учебнику Погорелова / ср-20. вариант / 4


Алгебра
Самостоятельные работы
СР-1. Варианты
СР-2. Варианты
СР-3. Варианты
СР-4. Варианты
СР-6. Варианты
СР-7. Варианты
СР-8. Варианты
СР-9. Варианты
СР-10. Варианты
СР-11. Варианты
СР-13. Варианты
СР-14. Варианты
СР-15. Варианты
СР-17. Варианты
СР-18. Варианты
СР-19. Варианты
СР-20. Варианты
СР-21. Варианты
СР-23. Варианты
Контрольные работы
КР-1. Варианты
КР-2. Варианты
КР-3. Варианты
КР-4. Варианты
КР-5. Варианты
КР-6. Варианты
КР-7. Варианты
КР-8. Варианты
КР-9. Варианты
КР-10. Варианты
Геометрия
Самостоятельные работы
К учебнику Атанасяна
СР-1. Варианты
СР-2. Варианты
СР-4. Варианты
СР-5. Варианты
СР-6. Варианты
СР-7. Варианты
СР-9. Варианты
СР-10. Варианты
СР-11. Варианты
СР-12. Варианты
СР-14. Варианты
СР-15. Варианты
СР-16. Варианты
СР-17. Варианты
СР-19. Варианты
СР-20. Варианты
СР-21. Варианты
К учебнику Погорелова
СР-1. Варианты
СР-2. Варианты
СР-3. Варианты
СР-4. Варианты
СР-6. Варианты
СР-7. Варианты
СР-8. Варианты
СР-10. Варианты
СР-11. Варианты
СР-12. Варианты
СР-13. Варианты
СР-15. Варианты
СР-16. Варианты
СР-17. Варианты
СР-18. Варианты
СР-19. Варианты
СР-20. Варианты
Контрольные работы
К учебнику Атанасяна
КР-1. Варианты
КР-2. Варианты
КР-3. Варианты
КР-4. Варианты
КР-5. Варианты
КР-6. Варианты
КР-7. Варианты
К учебнику Погорелова
КР-1. Варианты
КР-2. Варианты
КР-3. Варианты
КР-4. Варианты
КР-5. Варианты
КР-6. Варианты
КР-7. Варианты
Готовая домашняя работа с ответами по Алгебре за 8 класс Ершова, Голобородько Самостоятельные и контрольные работы Илекса 2014 ФГОС - СР-20. Варианты 4